Fig. 3

Download original image
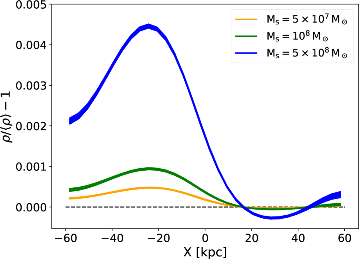
Background-subtracted overdensity response profiles averaged across Y ∈ [−20, 20] kpc. Each coloured band corresponds to a different subhalo mass and consists of profiles from 12 simulations; each have a different initial random seed. The figure demonstrates that the amplitude of the density response scales with the subhalo mass.
Current usage metrics show cumulative count of Article Views (full-text article views including HTML views, PDF and ePub downloads, according to the available data) and Abstracts Views on Vision4Press platform.
Data correspond to usage on the plateform after 2015. The current usage metrics is available 48-96 hours after online publication and is updated daily on week days.
Initial download of the metrics may take a while.