Open Access

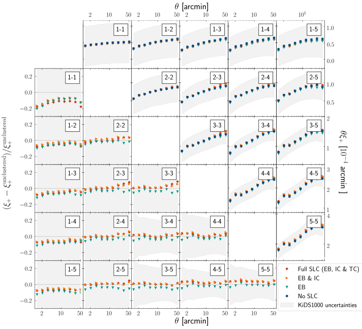
Fig. D.1.

image

Download original image

Shear correlation function ξ+ for the KiDS-like set-up when different SLC effects are included, either the full SLC (red crosses), the estimator bias (EB) and intrinsic clustering (IC; orange triangles), only the estimator bias (EB; green triangles), and no SLC (blue dots). Upper right: Shear correlation functions. Lower left: Fractional difference to ξ+ for unclustered sources (i.e. without SLC).

Current usage metrics show cumulative count of Article Views (full-text article views including HTML views, PDF and ePub downloads, according to the available data) and Abstracts Views on Vision4Press platform.

Data correspond to usage on the plateform after 2015. The current usage metrics is available 48-96 hours after online publication and is updated daily on week days.

Initial download of the metrics may take a while.