Open Access
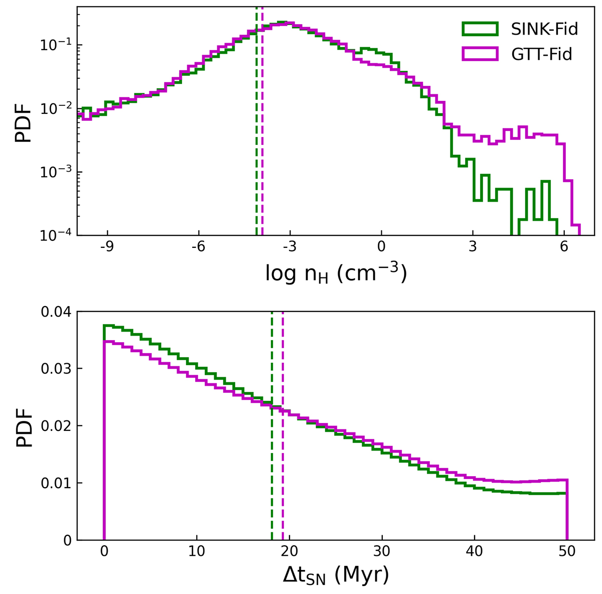
Fig. 5.

Download original image
PDF of hydrogen number density (3) of SN host cells (top). The mean logarithmic density is shown as a vertical dashed line. PDF of the time interval between two randomly selected SN explosions throughout the simulation (bottom). The vertical dashed line indicates the average time gap between two different SNe.
Current usage metrics show cumulative count of Article Views (full-text article views including HTML views, PDF and ePub downloads, according to the available data) and Abstracts Views on Vision4Press platform.
Data correspond to usage on the plateform after 2015. The current usage metrics is available 48-96 hours after online publication and is updated daily on week days.
Initial download of the metrics may take a while.