Open Access

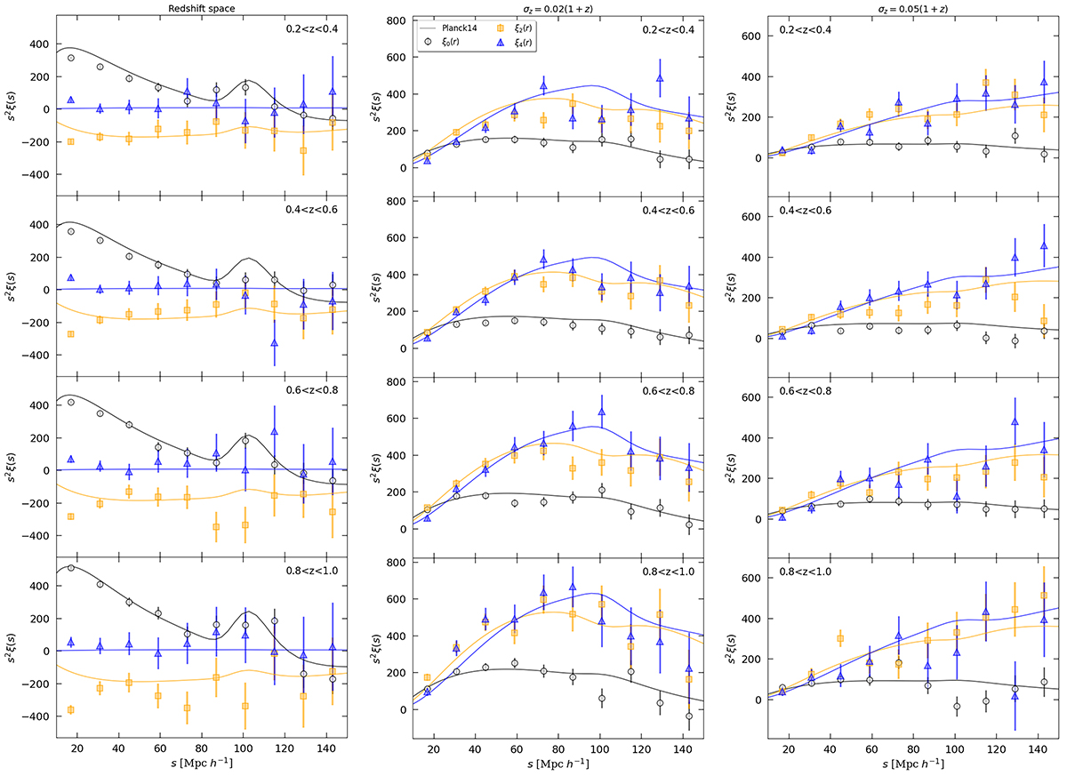
Fig. 1.

image

Download original image

First three even multipoles of the 3D two-point correlation function measured from one PINOCCHIO PLC. The errors are computed as the square root of the diagonal elements of the covariance matrix. We show results for monopoles (white circles), quadrupoles (orange squares), and hexadecapoles (blue triangles). The different columns refer to redshift space with σz = 0, and to photo-z space with σz = 0.02(1 + z) and σz = 0.05(1 + z). The solid lines show the theoretical two-point correlation function multipoles, computed from the power spectrum estimated with CAMB, assuming a linear model with ΣNL = 0 (i.e. without non-linear damping effects at the BAO scale). They include systematic effects, such as RSDs and photo-z damping. The colour of the lines corresponds to the multipoles indicated by the symbols.

Current usage metrics show cumulative count of Article Views (full-text article views including HTML views, PDF and ePub downloads, according to the available data) and Abstracts Views on Vision4Press platform.

Data correspond to usage on the plateform after 2015. The current usage metrics is available 48-96 hours after online publication and is updated daily on week days.

Initial download of the metrics may take a while.