Open Access

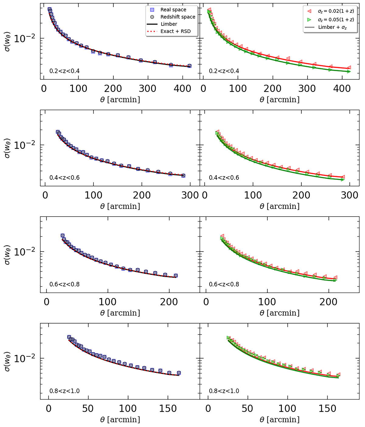
Fig. B.3.

image

Download original image

Errors in the angular correlation function, derived as the square root of diagonal elements of Covθiθj, in real (blue squares), redshift (with σz = 0, black circles) and photo-z space, with σz = 0.02, (red triangles) and σz = 0.05 (green triangles), from the numerical covariance matrix measured from 1000 mocks. The lines show the results obtained with the linear power spectrum in the Limber approximation (solid black line), with the exact integration given by Eq. (43), which also includes the modelling of the RSDs (dashed red line) and with the damped linear power spectrum in the Limber approximation (solid red and green lines).

Current usage metrics show cumulative count of Article Views (full-text article views including HTML views, PDF and ePub downloads, according to the available data) and Abstracts Views on Vision4Press platform.

Data correspond to usage on the plateform after 2015. The current usage metrics is available 48-96 hours after online publication and is updated daily on week days.

Initial download of the metrics may take a while.