Open Access

Fig. 2.

image

Download original image

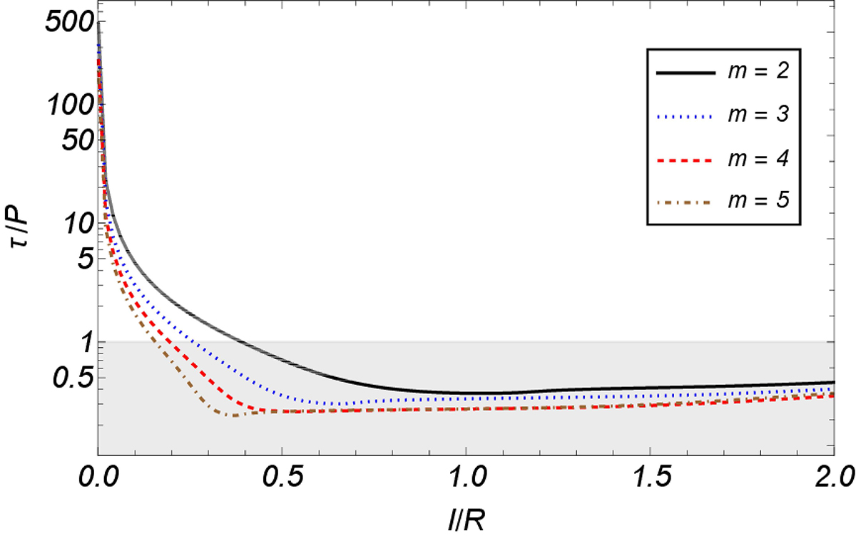
Ratio of the exponential damping time, τ, to the oscillation period, P, as a function of l/R for the fluting quasi-modes with m = 2, 3, 4, and 5. The gray area corresponds to τ/P < 1, i.e., overdamped quasi-modes. Results were computed with the Frobenius method explained in Soler (2017), considering L/R = 20 and ρi/ρe = 5.

Current usage metrics show cumulative count of Article Views (full-text article views including HTML views, PDF and ePub downloads, according to the available data) and Abstracts Views on Vision4Press platform.

Data correspond to usage on the plateform after 2015. The current usage metrics is available 48-96 hours after online publication and is updated daily on week days.

Initial download of the metrics may take a while.