Open Access

Fig. 6.

image

Download original image

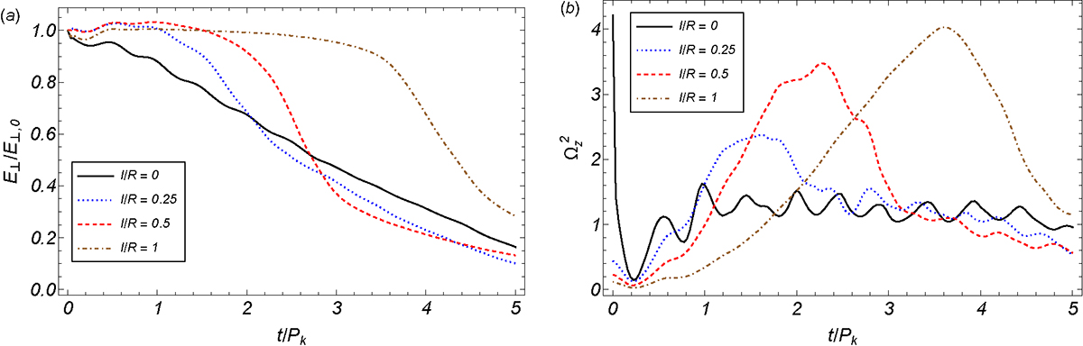
Weakly nonlinear simulations for the m = 2 mode: (a) perpendicular energy integrated over the whole computational box, E, normalized with respect to the initial value, E⊥, 0, and (b) z component of vorticity squared (in arbitrary units) integrated over the whole computational box as functions of t/Pk. The different line styles are for different values of l/R indicated within the figure. We used v0/vA, i = 0.05 and ρi/ρe = 5 in all simulations.

Current usage metrics show cumulative count of Article Views (full-text article views including HTML views, PDF and ePub downloads, according to the available data) and Abstracts Views on Vision4Press platform.

Data correspond to usage on the plateform after 2015. The current usage metrics is available 48-96 hours after online publication and is updated daily on week days.

Initial download of the metrics may take a while.