Open Access

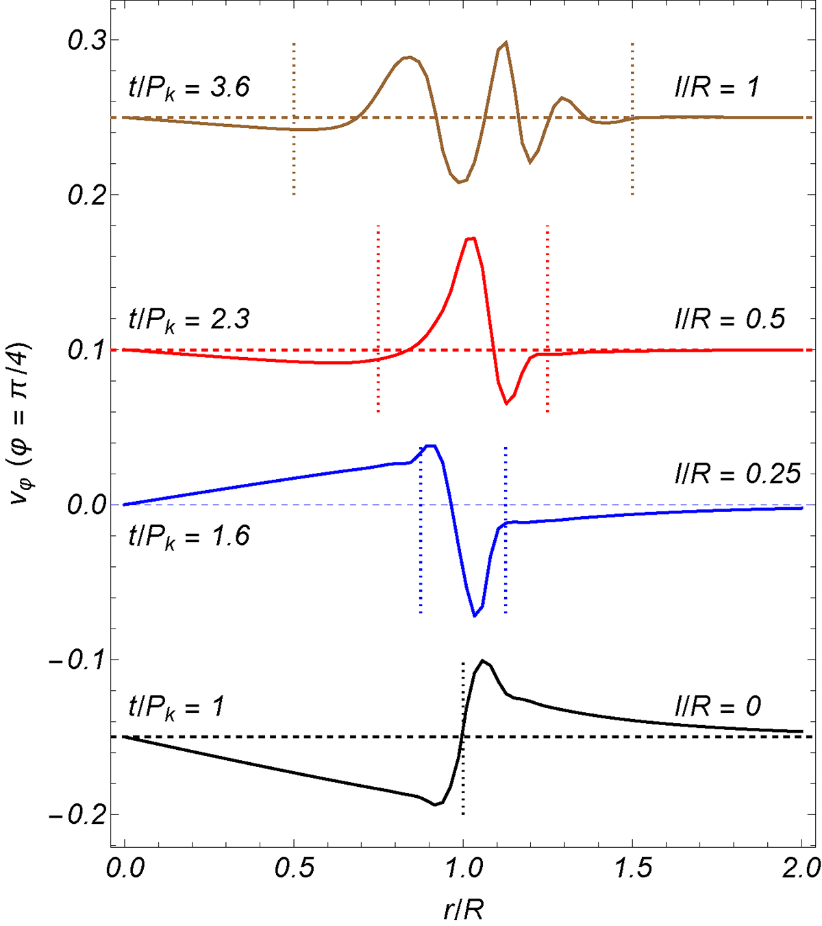
Fig. 7.

image

Download original image

Azimuthal component of the velocity, vφ, in the z = 0 plane along a radial cut across the flux tube performed at the azimuthal angle φ = π/4. The azimuthal velocities for the models with different l/R have been shifted vertically by an arbitrary constant to ease the comparison. The velocities are plotted for the time at which the maximum of the integrated vorticity occurs in each simulation, indicated within the figure. The horizonal dashed lines denote the vφ = 0 reference value and the vertical dotted lines denote the limits of the nonuniform boundary layer in each case.

Current usage metrics show cumulative count of Article Views (full-text article views including HTML views, PDF and ePub downloads, according to the available data) and Abstracts Views on Vision4Press platform.

Data correspond to usage on the plateform after 2015. The current usage metrics is available 48-96 hours after online publication and is updated daily on week days.

Initial download of the metrics may take a while.