Fig. 12.

Download original image
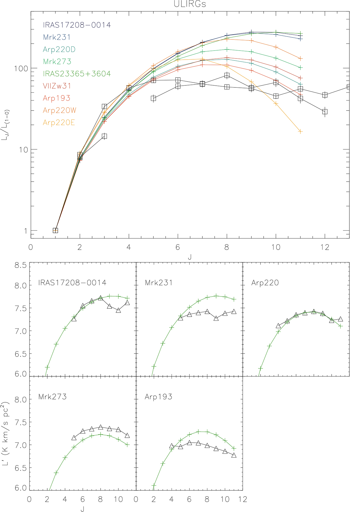
CO SLEDs of local starburst galaxies (ULIRGs). Upper panel: the black boxes linked by black lines represent the observed mean CO SLEDs of ULIRGs with total IR luminosities between 3 × 1011 and 1012 L⊙ and higher than 1012 L⊙, respectively (from Kamenetzky et al. 2016). Lower panels: model (pluses) and observed CO SLEDs (Rosenberg et al. 2015; triangles).
Current usage metrics show cumulative count of Article Views (full-text article views including HTML views, PDF and ePub downloads, according to the available data) and Abstracts Views on Vision4Press platform.
Data correspond to usage on the plateform after 2015. The current usage metrics is available 48-96 hours after online publication and is updated daily on week days.
Initial download of the metrics may take a while.