Open Access

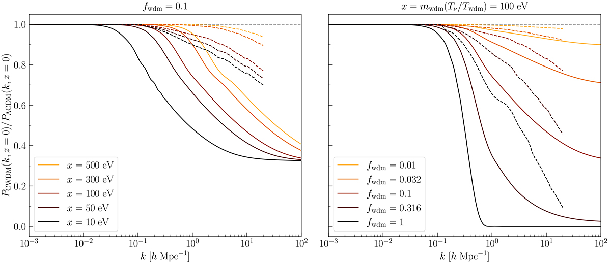
Fig. 1.

image

Download original image

Ratio of the linear (solid lines) and non-linear (dashed lines) power spectra of several CWDM models to that of a pure ΛCDM model with the same cosmological parameters, parameterised by the fraction fwdm and the rescaled mass x. The other parameters (Ωdm, Ωb, h, As, ns) are kept fixed. All spectra are computed today (z = 0). These plots cover all the cases in which WDM has a Fermi–Dirac distribution possibly rescaled by a factor χ, including the limits of the thermal WDM (χ = 1) and Dodelson–Widrow (Twdm = Tν) models. In the latter case x coincides with the physical mass. The non-linear spectra are predicted by the emulator introduced in Sect. 3.1 and plotted up to the maximum wavenumber at which this emulator is trusted.

Current usage metrics show cumulative count of Article Views (full-text article views including HTML views, PDF and ePub downloads, according to the available data) and Abstracts Views on Vision4Press platform.

Data correspond to usage on the plateform after 2015. The current usage metrics is available 48-96 hours after online publication and is updated daily on week days.

Initial download of the metrics may take a while.