Open Access

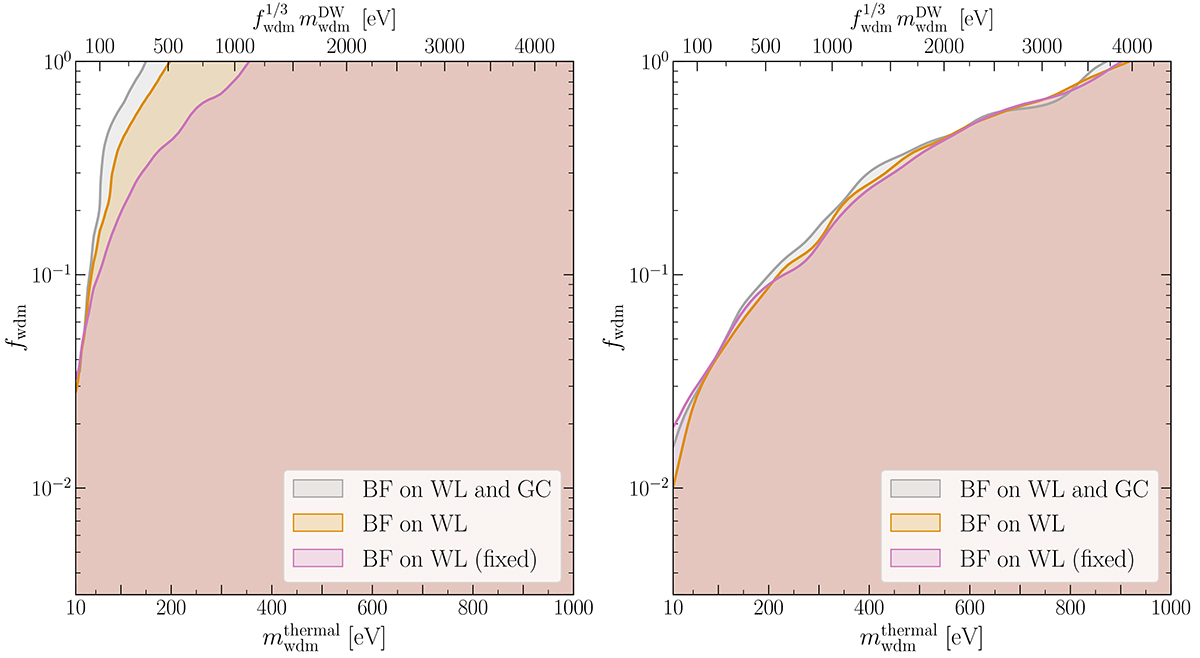
Fig. 10.

image

Download original image

Left: Same as Fig. 9, but only for the 3 × 2pt dataset and with different assumptions on baryonic feedback (BF): fixed BF (magenta), BF affecting only the WL power spectrum (orange), or BF affecting both the WL and GC power spectra (grey). The “truth” is expected to lay between the latter two cases (orange and grey), which give anyway very similar results. Right: Same with optimistic assumptions.

Current usage metrics show cumulative count of Article Views (full-text article views including HTML views, PDF and ePub downloads, according to the available data) and Abstracts Views on Vision4Press platform.

Data correspond to usage on the plateform after 2015. The current usage metrics is available 48-96 hours after online publication and is updated daily on week days.

Initial download of the metrics may take a while.