Open Access

Fig. 16.

image

Download original image

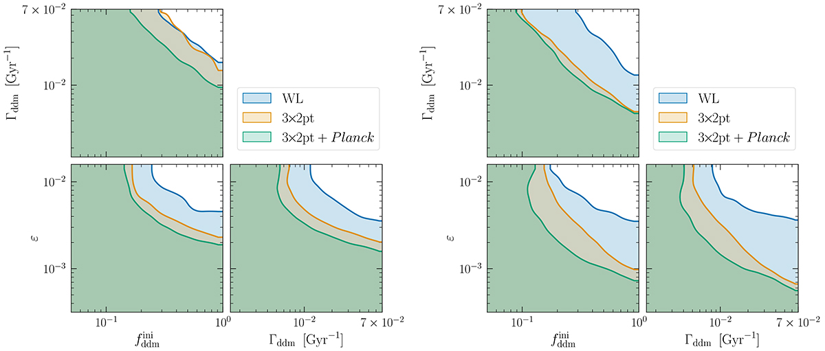
Same as Fig. 9, but for the parameters of the 2b-DDM model. The forecast assumes logarithmic priors on the DDM fraction f ddm ini $ f_{\mathrm{ddm}}^{\mathrm{ini}} $, on the decay rate Γddm, and on the fraction of energy ε going into the ultra-relativistic daughter at each decay. The model is equivalent to pure ΛCDM in the small f ddm ini $ f_{\mathrm{ddm}}^{\mathrm{ini}} $ and/or small ε and/or small Γddm limits.

Current usage metrics show cumulative count of Article Views (full-text article views including HTML views, PDF and ePub downloads, according to the available data) and Abstracts Views on Vision4Press platform.

Data correspond to usage on the plateform after 2015. The current usage metrics is available 48-96 hours after online publication and is updated daily on week days.

Initial download of the metrics may take a while.