Fig. 22.

Download original image
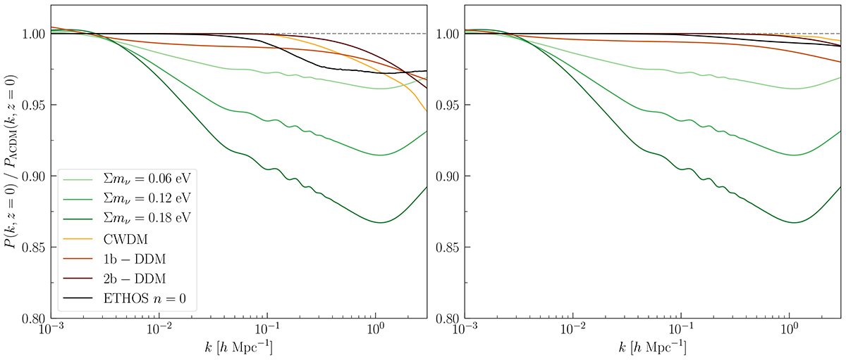
Ratio of the non-linear matter power spectrum at redshift zero for different cosmologies featuring either massive neutrinos or non-minimal DM over that of a reference ΛCDM cosmology with massless neutrinos. In this figure, DM parameters are chosen close to the boundary of the 95% credible intervals in the 3 × 2pt pessimistic (left plot) and optimistic (right plot) case. DM parameter values are given in Table 7.
Current usage metrics show cumulative count of Article Views (full-text article views including HTML views, PDF and ePub downloads, according to the available data) and Abstracts Views on Vision4Press platform.
Data correspond to usage on the plateform after 2015. The current usage metrics is available 48-96 hours after online publication and is updated daily on week days.
Initial download of the metrics may take a while.