Open Access

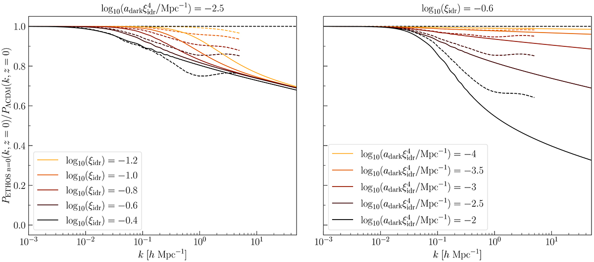
Fig. 4.

image

Download original image

Ratio of the linear (solid lines) and non-linear (dashed lines) power spectra of several free-streaming ETHOS n = 0 models to that of a pure ΛCDM model with the same cosmological parameters, parameterised by the dark-radiation-to-photon temperature ratio ξidr and interaction strength adark. The effects are displayed in the basis (ξidr, adarkξidr4) to show that the combination adarkξidr4, which gives the scattering rate of IDR off IDM, controls the amplitude of the small-scale suppression of the linear matter power spectrum. The other parameters ( Ω dm ini $ \Omega_{\mathrm{dm}}^{\mathrm{ini}} $, Ωb, h, As, ns) are kept fixed, and the spectra are computed today (z = 0). The non-linear spectra are predicted by the emulator introduced in Sect. 3.4 and plotted up to the maximum wavenumber at which this emulator is trusted.

Current usage metrics show cumulative count of Article Views (full-text article views including HTML views, PDF and ePub downloads, according to the available data) and Abstracts Views on Vision4Press platform.

Data correspond to usage on the plateform after 2015. The current usage metrics is available 48-96 hours after online publication and is updated daily on week days.

Initial download of the metrics may take a while.