Open Access

Fig. 6.

image

Download original image

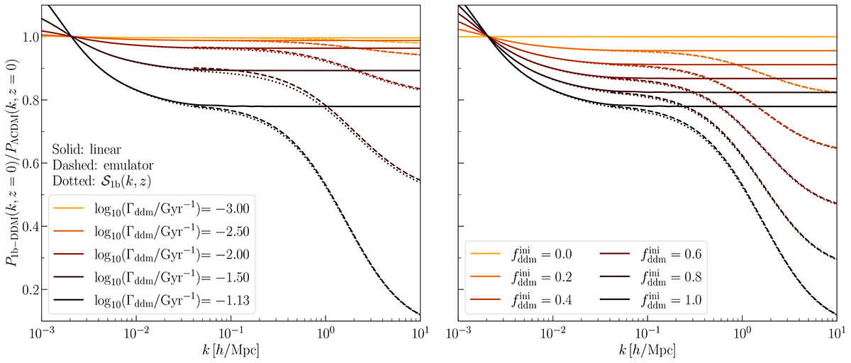
Effect of 1b-DDM parameters on the linear (solid) and non-linear (dashed) matter power spectrum. Left: Effect of varying the decay rate Γddm with a fixed fraction f ddm ini = 1 $ f_{\mathrm{ddm}}^{\mathrm{ini}} = 1 $. Right: Effect of varying the fraction f ddm ini $ f_{\mathrm{ddm}}^{\mathrm{ini}} $ with a fixed decay rate Γddm = (1/13.5) Gyr−1. The other parameters ( Ω dm ini $ \Omega_{\mathrm{dm}}^{\mathrm{ini}} $, Ωb, h, As, ns) are kept fixed, and the spectra are computed today (z = 0). Dashed lines show the predictions of the emulator of Hubert et al. (2021). Our pipeline relies on the prescription of Eq. (16), shown as a dotted line, which smoothly interpolates from the linear to non-linear behaviour.

Current usage metrics show cumulative count of Article Views (full-text article views including HTML views, PDF and ePub downloads, according to the available data) and Abstracts Views on Vision4Press platform.

Data correspond to usage on the plateform after 2015. The current usage metrics is available 48-96 hours after online publication and is updated daily on week days.

Initial download of the metrics may take a while.