Open Access

Fig. 7.

image

Download original image

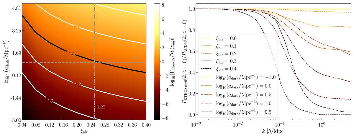
Left: Ratio of the interaction rate between IDM and IDR (Γidm − dr) and comoving Hubble rate (ℋ) as a function of the dark-radiation-to-photon temperature ratio ξidr and interaction strength adark, computed at the redshift zini = 49 at which the N-body simulations used to construct the ETHOS emulator are initialised. We display the contours of equal ratio as solid white lines and highlight the threshold value of 0.1 in black. We further depict the region with adark = 10 Mpc−1 (dashed grey) and ξidr = 0.25 (dash-dotted grey). Right: Power spectrum suppression 𝒮ETHOS(k, z) predicted by the emulator for parameters chosen along each of the two grey lines of the left panel.

Current usage metrics show cumulative count of Article Views (full-text article views including HTML views, PDF and ePub downloads, according to the available data) and Abstracts Views on Vision4Press platform.

Data correspond to usage on the plateform after 2015. The current usage metrics is available 48-96 hours after online publication and is updated daily on week days.

Initial download of the metrics may take a while.