Open Access

Fig. 1

image

Download original image

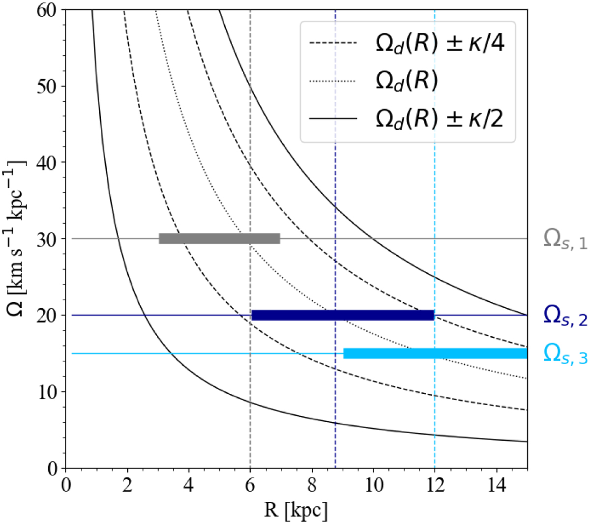
Spiral pattern speeds Ωs,1(R), Ωs,2(R) and Ωs,3(R) of the multiple spiral modes moving at different pattern speeds of Model A in Spitoni et al. (2023) are indicated by the three coloured horizontal lines. Inner and outer spiral structures (moving with the above-mentioned pattern speeds) are also indicated by the thicker grey, blue and green light-blue, respectively. The disc angular velocity Ωd(R) computed by Roca-Fàbrega et al. (2014) is indicated with the dotted line. The 2:1 and 4:1 outer and inner Lindblad resonances (OLR and ILR) occur along the solid and dashed black curves, respectively. Resonances have been computed as Ωp2(R) = Ωd(R) ± κ/2 and Ωp4(R) = Ωd(R) ± κ/4, respectively where κ is the local radial epicyclic frequency. The long vertical dashed lines show the positions of the co-rotation radii assuming the three different ΩS values.

Current usage metrics show cumulative count of Article Views (full-text article views including HTML views, PDF and ePub downloads, according to the available data) and Abstracts Views on Vision4Press platform.

Data correspond to usage on the plateform after 2015. The current usage metrics is available 48-96 hours after online publication and is updated daily on week days.

Initial download of the metrics may take a while.