Open Access
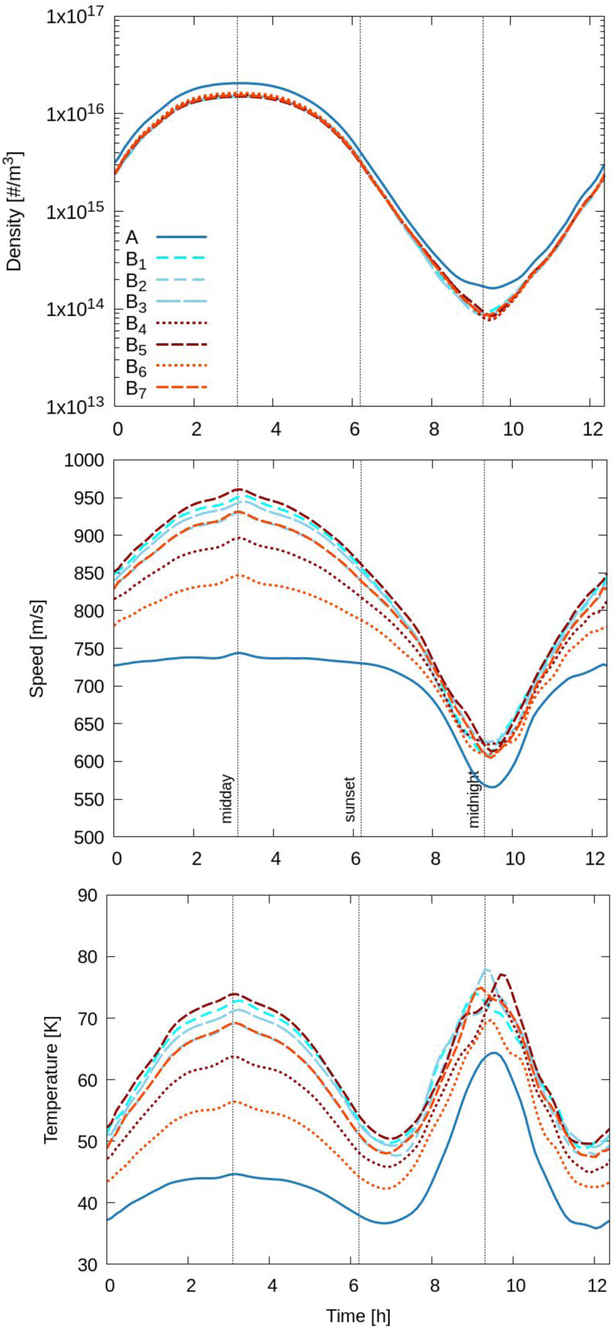
Fig. 3

Download original image
Results for the spherical nucleus. Comparison of the longitudinal variation in the number density (top), the speed (middle), and the overall temperature (bottom) of the gas at a distance of 9 km from the center of the nucleus in the equatorial plane for the different models.
Current usage metrics show cumulative count of Article Views (full-text article views including HTML views, PDF and ePub downloads, according to the available data) and Abstracts Views on Vision4Press platform.
Data correspond to usage on the plateform after 2015. The current usage metrics is available 48-96 hours after online publication and is updated daily on week days.
Initial download of the metrics may take a while.