Open Access
Fig. 4

Download original image
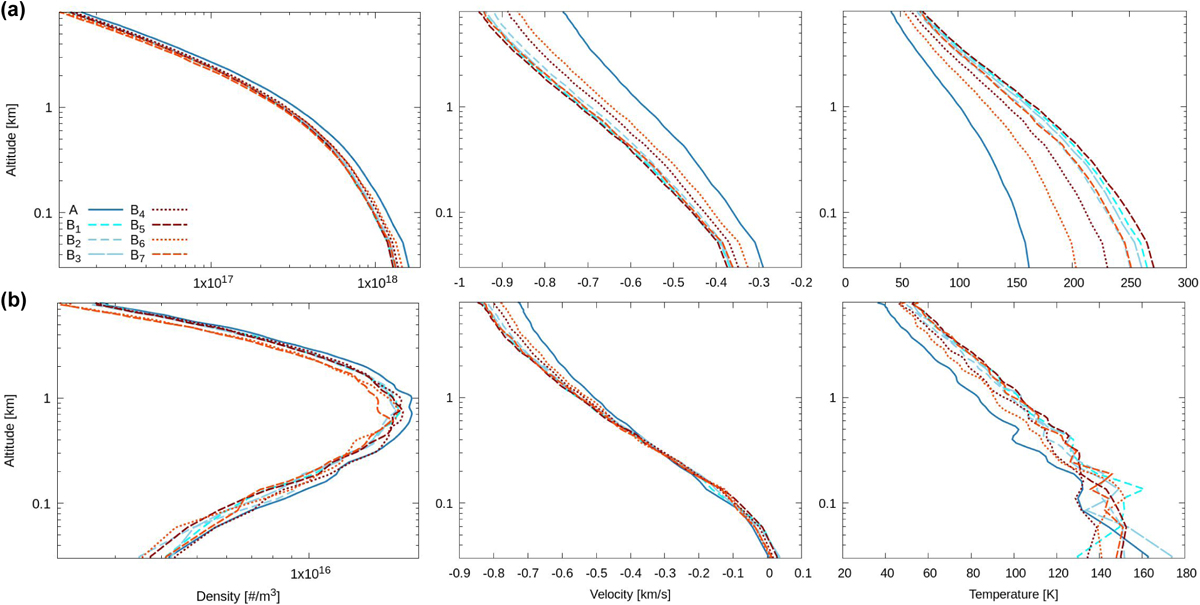
Vertical profiles for the spherical nucleus. Comparison of gas density (left), Doppler velocity (middle), and overall temperature profiles (right) as a function of altitude in the case for a 0° phase angle (a) and a 90° phase angle (b; terminator) for the different models.
Current usage metrics show cumulative count of Article Views (full-text article views including HTML views, PDF and ePub downloads, according to the available data) and Abstracts Views on Vision4Press platform.
Data correspond to usage on the plateform after 2015. The current usage metrics is available 48-96 hours after online publication and is updated daily on week days.
Initial download of the metrics may take a while.