Open Access
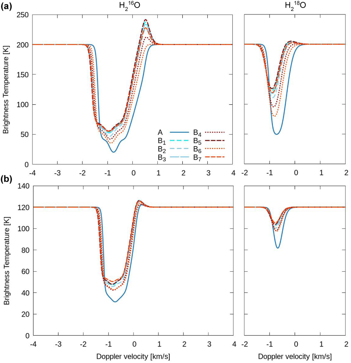
Fig. 5

Download original image
Spectral lines for a spherical nucleus. Comparison of the spectral lines for the 110–101 fundamental line transition for H216O at 556.937 GHz (left) and H218O at 547.676 GHz (right) at a 0° phase angle (a) and a 90° phase angle (b; terminator) for the different models.
Current usage metrics show cumulative count of Article Views (full-text article views including HTML views, PDF and ePub downloads, according to the available data) and Abstracts Views on Vision4Press platform.
Data correspond to usage on the plateform after 2015. The current usage metrics is available 48-96 hours after online publication and is updated daily on week days.
Initial download of the metrics may take a while.