Open Access
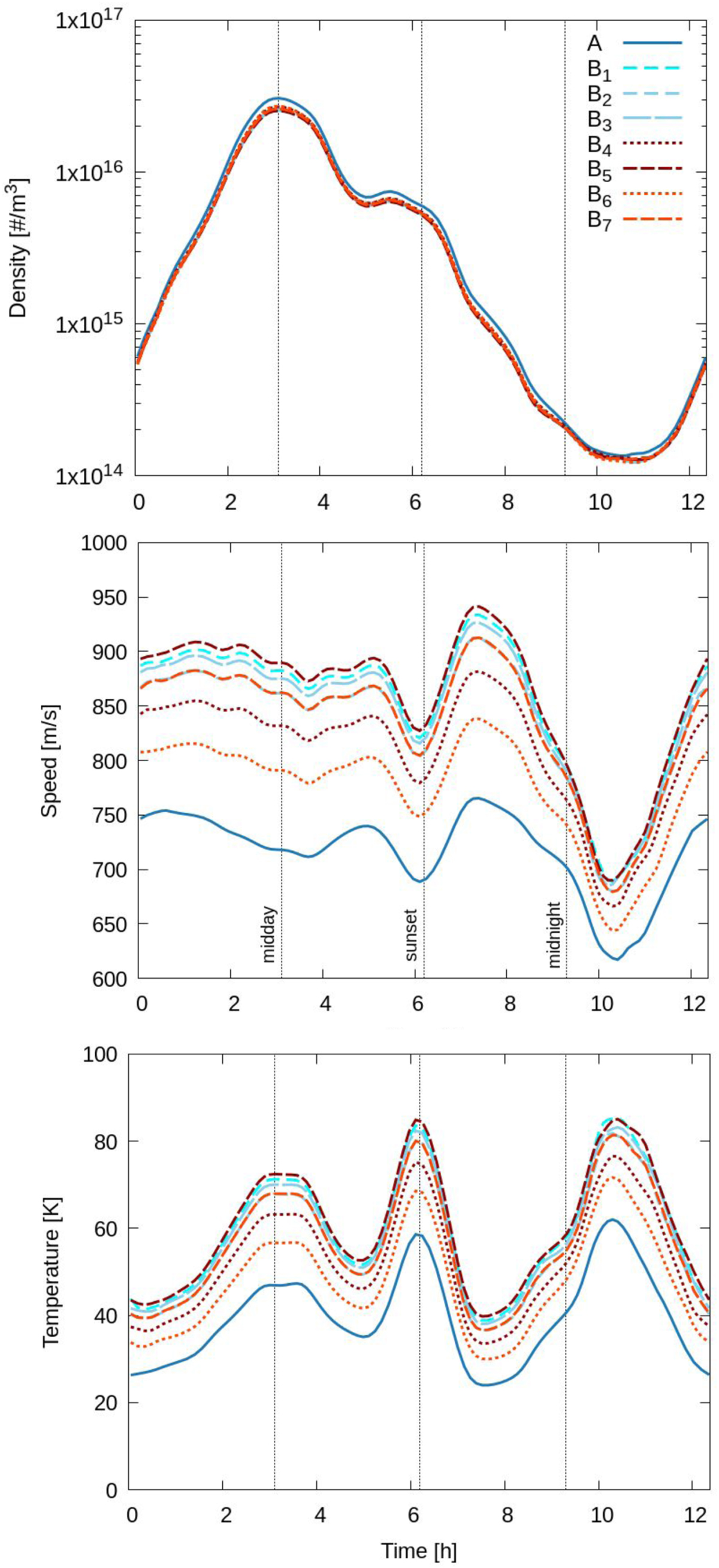
Fig. 8

Download original image
Results for the complex shape. Comparison of the longitudinal variation of the gas number density (top), speed (middle), and overall temperature (bottom) at a distance of 9 km from the nucleus center in the plane containing the nucleus center, Sun, and spacecraft for the different models.
Current usage metrics show cumulative count of Article Views (full-text article views including HTML views, PDF and ePub downloads, according to the available data) and Abstracts Views on Vision4Press platform.
Data correspond to usage on the plateform after 2015. The current usage metrics is available 48-96 hours after online publication and is updated daily on week days.
Initial download of the metrics may take a while.