Fig. 17.

Download original image
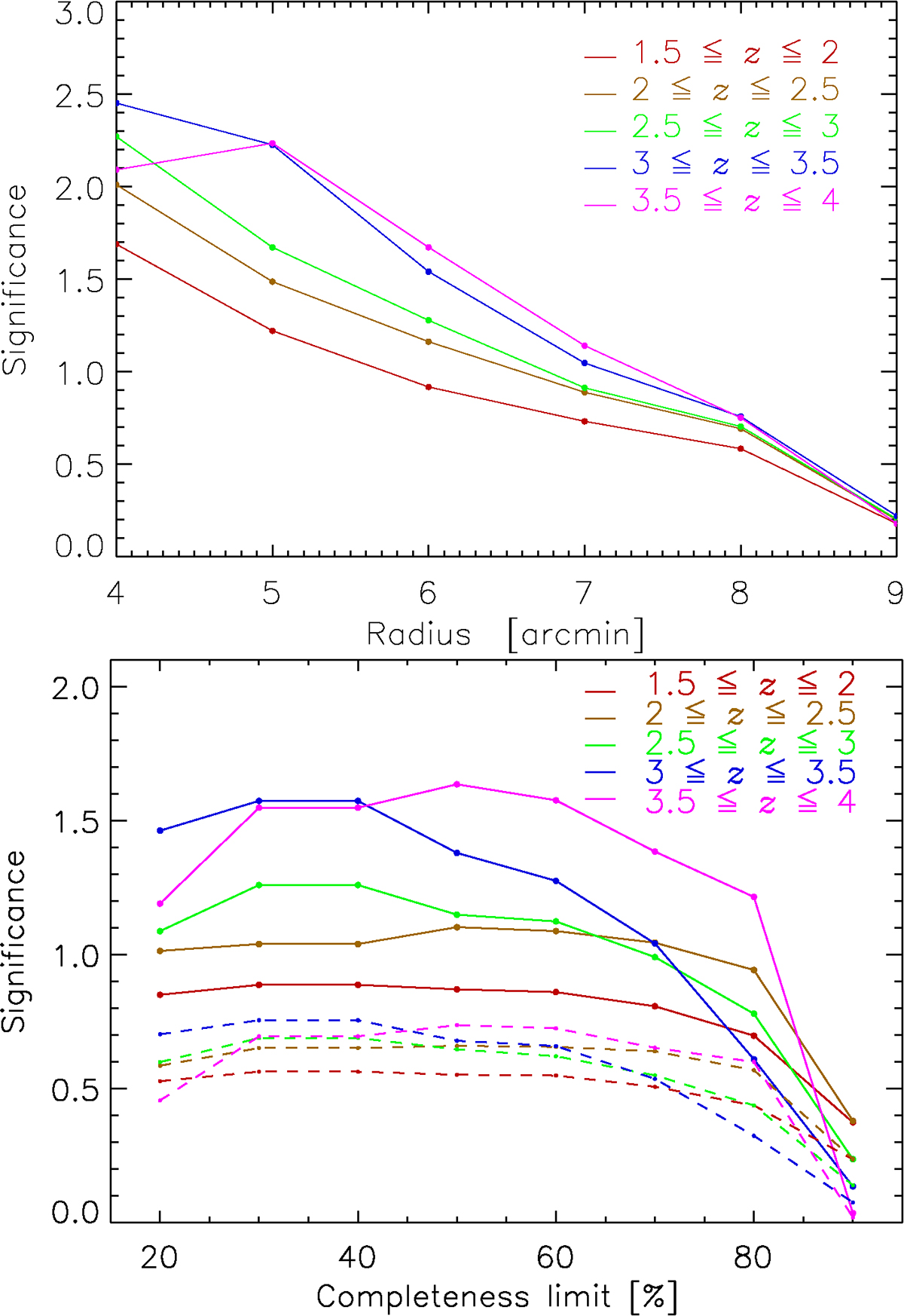
Mean detection significance of proto-clusters as a function of aperture radius (top) and as a function of the completeness limit (bottom). The set-up is similar to Fig. 13, but with a local background and an aperture radius in arcminutes. Top: A redshift interval of Δz (50%) was used. Bottom: Values of the completeness limit, Δz (X%), in the range of 30–90% were used. The solid lines show the results for an aperture radius of 0.5 rpc and the dashed lines show the results for 1 rpc.
Current usage metrics show cumulative count of Article Views (full-text article views including HTML views, PDF and ePub downloads, according to the available data) and Abstracts Views on Vision4Press platform.
Data correspond to usage on the plateform after 2015. The current usage metrics is available 48-96 hours after online publication and is updated daily on week days.
Initial download of the metrics may take a while.