Open Access
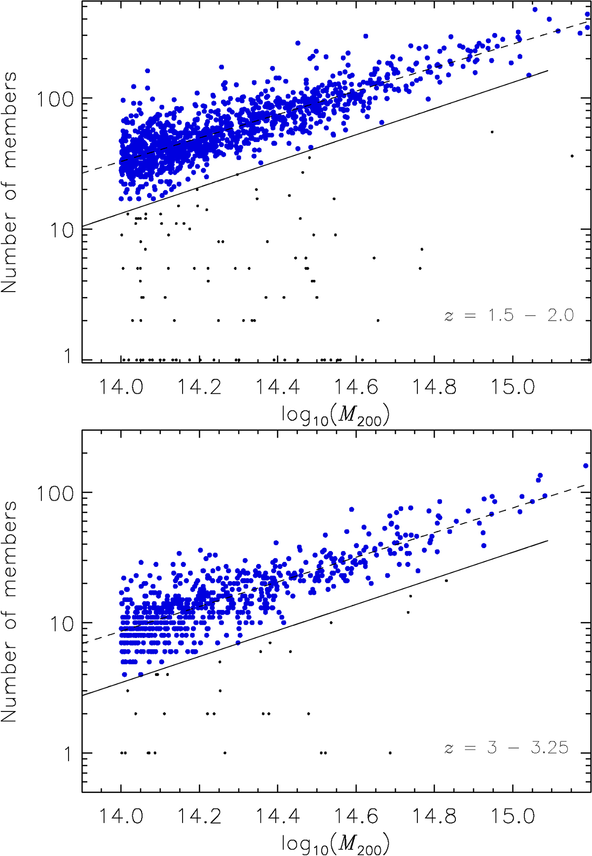
Fig. 18.

Download original image
Mass-richness relation for GAEA H for the redshift range z = 1.5 − 2 (top) and z = 3 − 3.25 (bottom). The small black dots show all proto-clusters, and the blue dots are the ones above the cut, which is shown as a solid black line. The linear regression fit to the relation is shown by a dashed line. M200 is in units of M⊙.
Current usage metrics show cumulative count of Article Views (full-text article views including HTML views, PDF and ePub downloads, according to the available data) and Abstracts Views on Vision4Press platform.
Data correspond to usage on the plateform after 2015. The current usage metrics is available 48-96 hours after online publication and is updated daily on week days.
Initial download of the metrics may take a while.