Open Access

Fig. 19.

image

Download original image

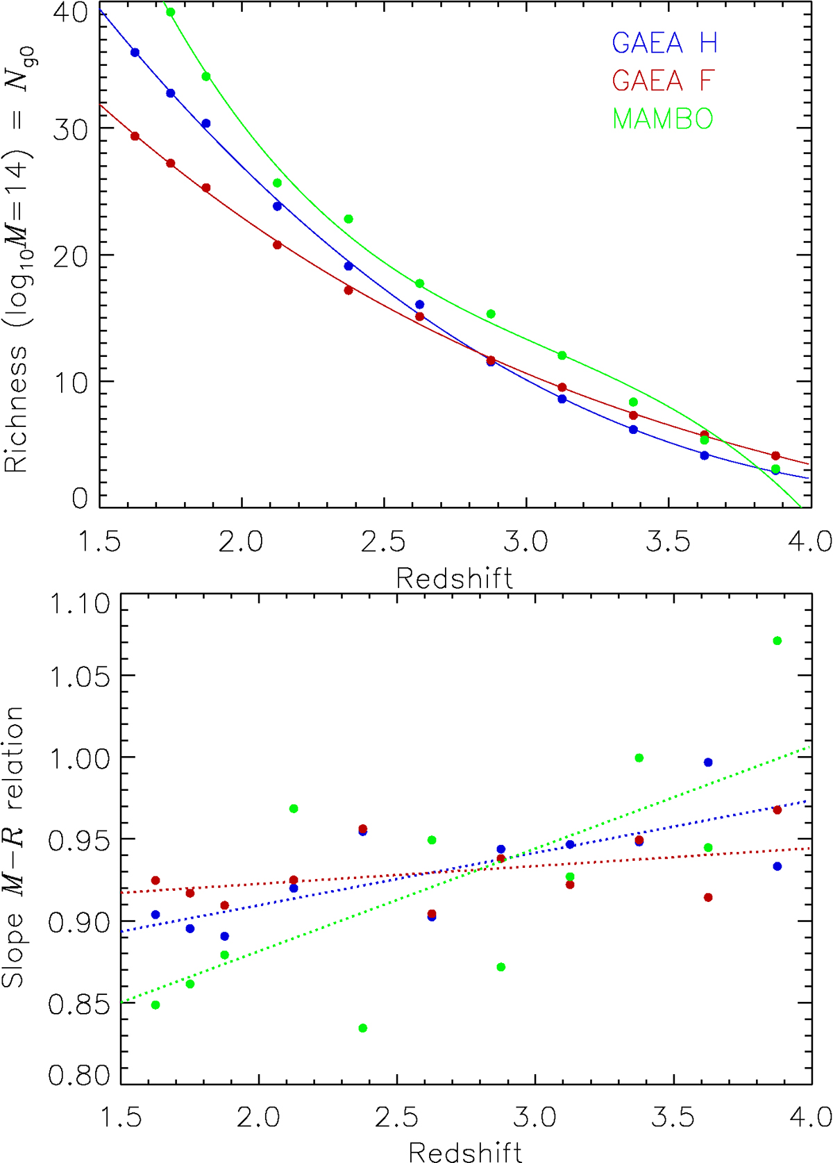
Top: Normalisation, Ng0, for the mass-richness relation as a function of redshift. The lines show the third-order polynomial approximation. The normalisation is given for log10M = 14, with M in units of solar mass. Bottom: Slope parameter, α, of the mass-richness relation as a function of redshift. The dotted lines show fits of linear relations. The colours have the same meaning as above.

Current usage metrics show cumulative count of Article Views (full-text article views including HTML views, PDF and ePub downloads, according to the available data) and Abstracts Views on Vision4Press platform.

Data correspond to usage on the plateform after 2015. The current usage metrics is available 48-96 hours after online publication and is updated daily on week days.

Initial download of the metrics may take a while.