Fig. 7.

Download original image
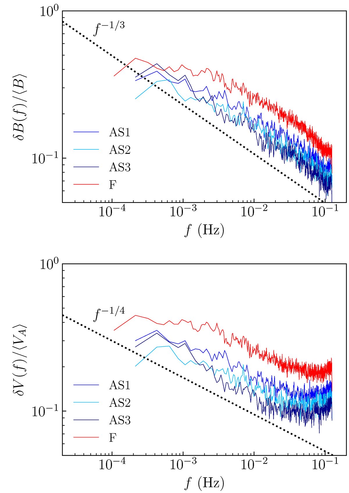
Power spectral density of the trace of magnetic fluctuations normalized to the average magnetic field (upper panel) and velocity fluctuations normalized to the average Alfvén speed (lower panel). Characteristic power laws (f−1/3 and f−1/4) are shown as dashed lines for reference. The color indicates the different streams with the same color code used in Fig. 6.
Current usage metrics show cumulative count of Article Views (full-text article views including HTML views, PDF and ePub downloads, according to the available data) and Abstracts Views on Vision4Press platform.
Data correspond to usage on the plateform after 2015. The current usage metrics is available 48-96 hours after online publication and is updated daily on week days.
Initial download of the metrics may take a while.