Open Access

Fig. 14.

image

Download original image

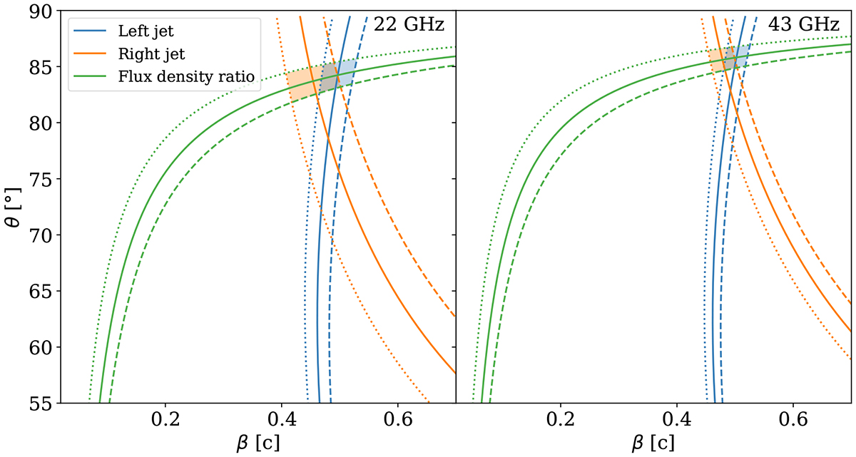
Allowed parameter space for the intrinsic speed, β, and viewing angle, θ, for both jets, at 22 GHz (left) and 43 GHz (right). The orange and blue lines represent Eq. (7); the green lines Eq. (6). The dotted and dashed lines represent the lower and upper error ranges, respectively. Both cases allow intrinsic symmetry, as is shown by the overlapping shaded areas.

Current usage metrics show cumulative count of Article Views (full-text article views including HTML views, PDF and ePub downloads, according to the available data) and Abstracts Views on Vision4Press platform.

Data correspond to usage on the plateform after 2015. The current usage metrics is available 48-96 hours after online publication and is updated daily on week days.

Initial download of the metrics may take a while.