Open Access

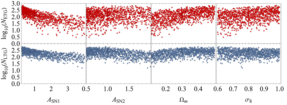
Fig. 3.

image

Download original image

Number of galaxies as a function of the cosmological and astrophysical parameters for each CAMELS IllustrisTNG simulation. Top row shows the number of ETGs, while bottom row shows the number of LTGs. Each column is associated to a different parameter. For each plot, for a fixed value of one of the parameters, the trends with respect to the other parameters are the same as those shown in the other panels. Parameters AAGN1 and AAGN2 are not shown for convenience.

Current usage metrics show cumulative count of Article Views (full-text article views including HTML views, PDF and ePub downloads, according to the available data) and Abstracts Views on Vision4Press platform.

Data correspond to usage on the plateform after 2015. The current usage metrics is available 48-96 hours after online publication and is updated daily on week days.

Initial download of the metrics may take a while.