Open Access
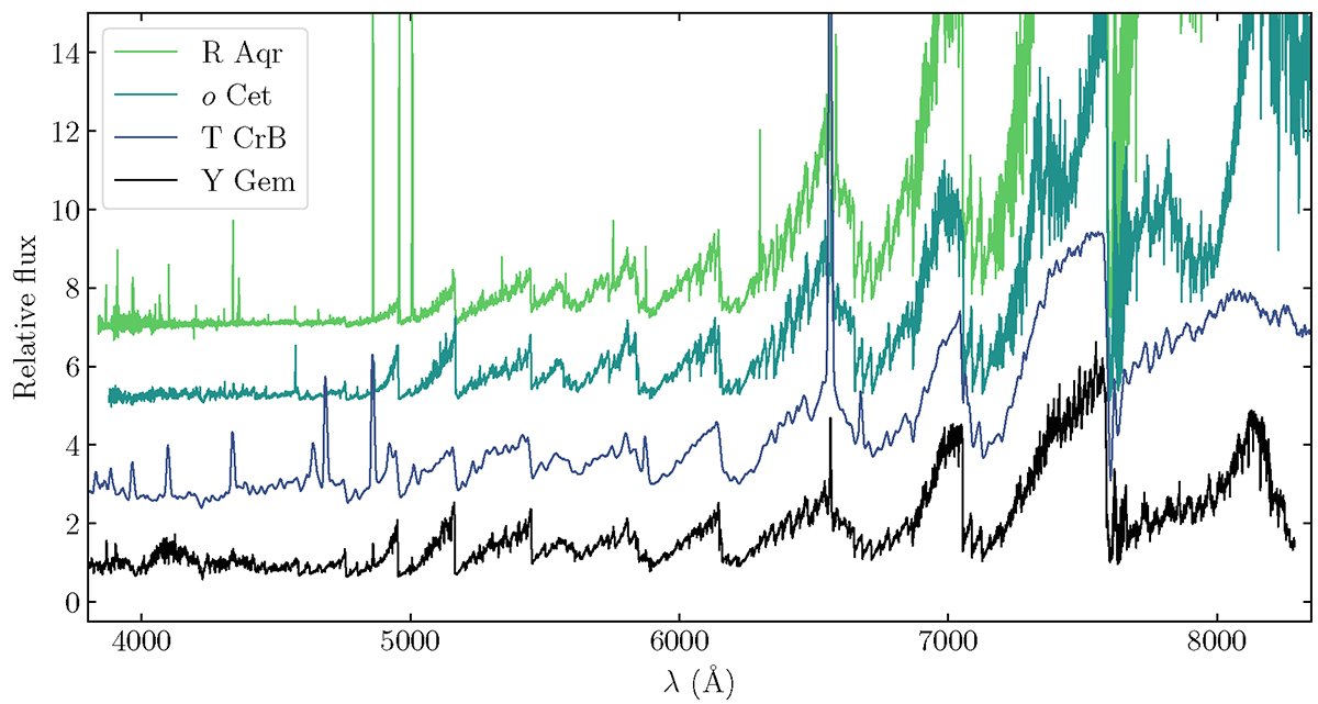
Fig. 3.

Download original image
Optical spectra of Y Gem and the iconic SySts R Aqr, o Cet, and T CrB obtained from the ARAS spectral database of eruptive stars. The spectra are presented in relative flux, normalized to the intensity of the sawtooth-shaped spectral feature at ≈6100 Å.
Current usage metrics show cumulative count of Article Views (full-text article views including HTML views, PDF and ePub downloads, according to the available data) and Abstracts Views on Vision4Press platform.
Data correspond to usage on the plateform after 2015. The current usage metrics is available 48-96 hours after online publication and is updated daily on week days.
Initial download of the metrics may take a while.