Open Access

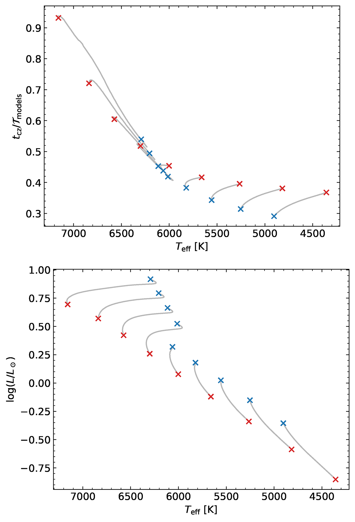
Fig. 4.

image

Download original image

Predictions from stellar models. Top panel: Variation of the ratio between the acoustic radius of the BSCZ and the total acoustic radius for stellar models between the zero age main sequence (red crosses) and the terminal age main sequence (blue crosses). The masses vary between 0.7 and 1.5 M. Bottom panel: HR diagram for the same models.

Current usage metrics show cumulative count of Article Views (full-text article views including HTML views, PDF and ePub downloads, according to the available data) and Abstracts Views on Vision4Press platform.

Data correspond to usage on the plateform after 2015. The current usage metrics is available 48-96 hours after online publication and is updated daily on week days.

Initial download of the metrics may take a while.