Open Access

Fig. 7.

image

Download original image

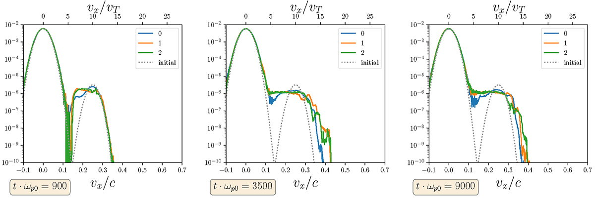
Velocity distribution functions, f(vx), of all electrons at different moments of time. The dashed gray line indicates the initial distributions. Different lines (0, 1, 2) corresponding to particles in the areas are indicated as 0, 1 and 2 in Figure 4. The corresponding video is available online.

Current usage metrics show cumulative count of Article Views (full-text article views including HTML views, PDF and ePub downloads, according to the available data) and Abstracts Views on Vision4Press platform.

Data correspond to usage on the plateform after 2015. The current usage metrics is available 48-96 hours after online publication and is updated daily on week days.

Initial download of the metrics may take a while.