Open Access
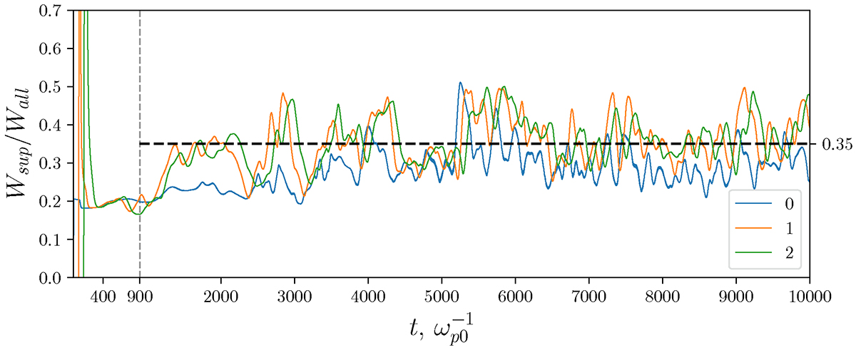
Fig. 8.

Download original image
Fraction of the beam energy that is being carried out by supra-thermal particles (with v > vT) for each diagnostic area. The dashed black line indicates the average level over the time from t = 900 to the end of simulation for the second area.
Current usage metrics show cumulative count of Article Views (full-text article views including HTML views, PDF and ePub downloads, according to the available data) and Abstracts Views on Vision4Press platform.
Data correspond to usage on the plateform after 2015. The current usage metrics is available 48-96 hours after online publication and is updated daily on week days.
Initial download of the metrics may take a while.