Open Access

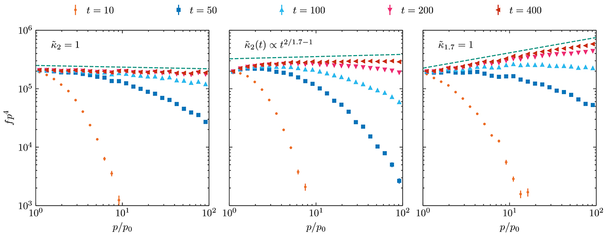
Fig. 2.

image

Download original image

Time evolution of the weighted spectrum f(p, t)p4 at the shock ( x = [ 0 , 1 ] $ \tilde{x} = [0,1] $) for normal diffusion, κ 2 = 1 $ \tilde{\kappa}_2 = 1 $ (left); time-dependent diffusion, κ 2 ( t ) t 2 / 1.7 1 $ \tilde{\kappa}_2(t) \propto \tilde{t}^{2/1.7-1} $ (middle); and Lévy flights with α = 1.7 and κ 1.7 = 1 $ \tilde{\kappa}_{1.7} = 1 $ (right). Time-dependent diffusion and Lévy flights with α = 1.7 have the same (pseudo) mean-square displacement. The dashed lines indicate the slope of the fitted spectra at time t = 800 $ \tilde{t} = 800 $.

Current usage metrics show cumulative count of Article Views (full-text article views including HTML views, PDF and ePub downloads, according to the available data) and Abstracts Views on Vision4Press platform.

Data correspond to usage on the plateform after 2015. The current usage metrics is available 48-96 hours after online publication and is updated daily on week days.

Initial download of the metrics may take a while.