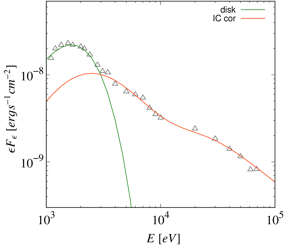
Fig. 11.

Download original image
High/soft spectral state of Cygnus X-1 as observed by RXTE, ASCA, and NuSTAR (Ling et al. 1997; Dotani et al. 1997; Walton et al. 2016). The observational data are fitted by a blackbody spectrum emitted by the inner disk region and an IC-scattered component of the disk emission off a combination of thermal and nonthermal corona electrons.
Current usage metrics show cumulative count of Article Views (full-text article views including HTML views, PDF and ePub downloads, according to the available data) and Abstracts Views on Vision4Press platform.
Data correspond to usage on the plateform after 2015. The current usage metrics is available 48-96 hours after online publication and is updated daily on week days.
Initial download of the metrics may take a while.