Fig. 12.

Download original image
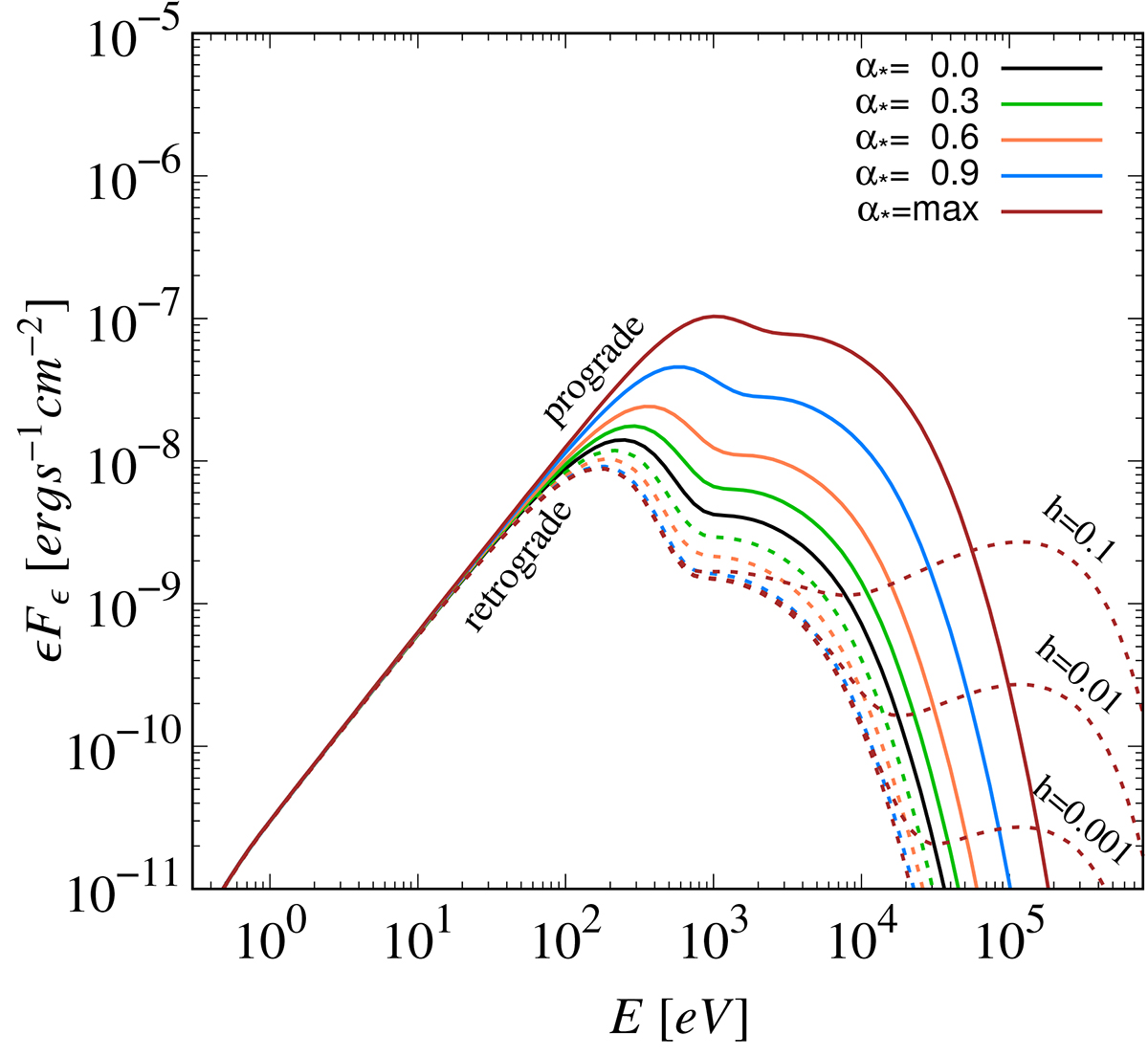
Thermal disk emission based on the dimensionless spin parameter. The spectrum produced when seed photons from the disk are IC-scattered off the purely thermal corona is also included. The dotted brown curves correspond to the injection of nonthermal particles in the corona, assuming a maximum counter-rotating black hole. Their number density is written as a fraction, h, of the thermal electrons.
Current usage metrics show cumulative count of Article Views (full-text article views including HTML views, PDF and ePub downloads, according to the available data) and Abstracts Views on Vision4Press platform.
Data correspond to usage on the plateform after 2015. The current usage metrics is available 48-96 hours after online publication and is updated daily on week days.
Initial download of the metrics may take a while.