Open Access

Fig. 11.

image

Download original image

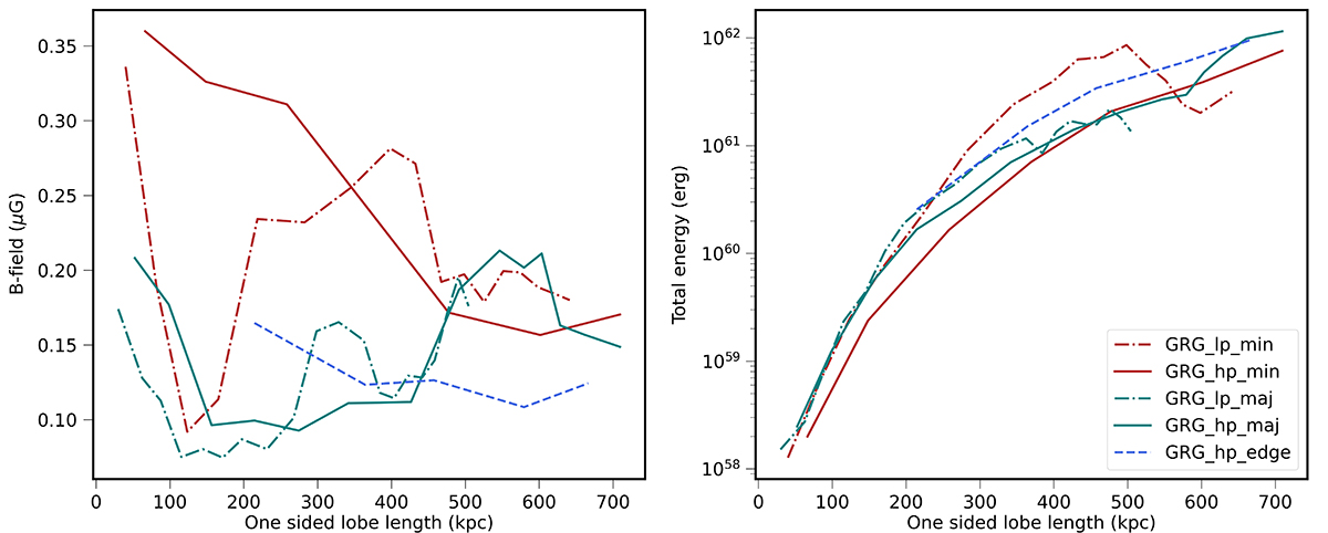
The left panel illustrates the length (and consequently time) evolution of the dynamical magnetic field, while the right panel shows the evolution of total energy. Despite the seemingly random fluctuations in the magnetic field, the values tend to converge around a specific range, approximately 0.15 μG. In contrast, the total energy exhibits a relatively smooth evolution. The lines represent the five simulation cases considered in this work, all of which have a one-sided lobe length exceeding 500 kpc. Detail in Sect. 3.3.3.

Current usage metrics show cumulative count of Article Views (full-text article views including HTML views, PDF and ePub downloads, according to the available data) and Abstracts Views on Vision4Press platform.

Data correspond to usage on the plateform after 2015. The current usage metrics is available 48-96 hours after online publication and is updated daily on week days.

Initial download of the metrics may take a while.