Fig. 11.

Download original image
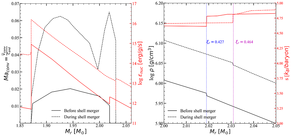
Properties of the 20 M⊙ GENEC model before and then during a silicon-oxygen shell merger event occurring very shortly before collapse. The time gap between the two models shown is 15 s. On the left we show the convective Mach number, i.e. the ratio of the velocity predicted by mixing length theory to the sound speed, and also the energy produced by nuclear burning. On the right is shown the density and entropy structure of the shell in question.
Current usage metrics show cumulative count of Article Views (full-text article views including HTML views, PDF and ePub downloads, according to the available data) and Abstracts Views on Vision4Press platform.
Data correspond to usage on the plateform after 2015. The current usage metrics is available 48-96 hours after online publication and is updated daily on week days.
Initial download of the metrics may take a while.