Open Access

Fig. E.2.

image

Download original image

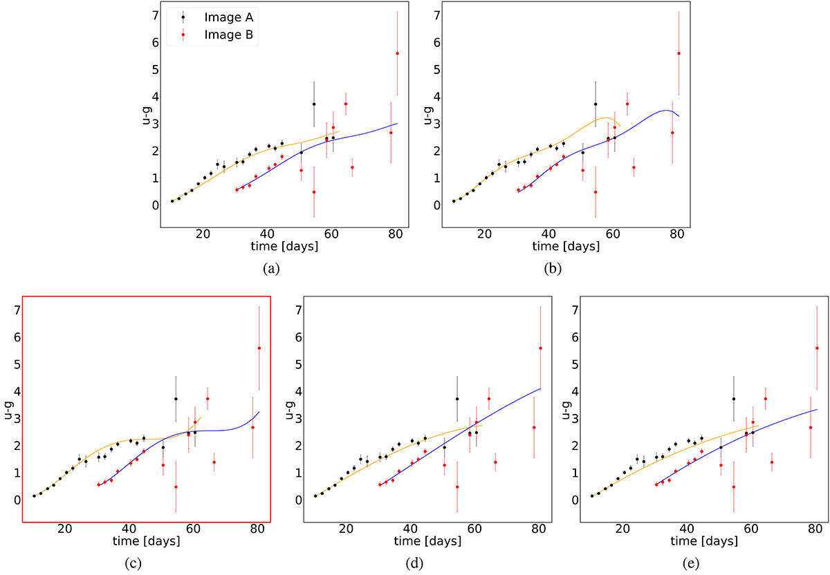
Orthogonal polynomial fits to one noise realization of case 3 to demonstrate the BIC selection. For the 3rd order, the retrieved time delay and differential dust extinction deviate strongly from the input, which is visible from the different shapes of the fits in the range of the data points of image A and image B. Panel a: 6th order, Panel b: 5th order, Panel c: 4 th order ̲ $ \underline{4^{\mathrm{th}} \ \text{ order}} $, Panel d: 3rd order, Panel e: 2nd order; The selected order is underlined and highlighted with a red frame of the plot.

Current usage metrics show cumulative count of Article Views (full-text article views including HTML views, PDF and ePub downloads, according to the available data) and Abstracts Views on Vision4Press platform.

Data correspond to usage on the plateform after 2015. The current usage metrics is available 48-96 hours after online publication and is updated daily on week days.

Initial download of the metrics may take a while.