Fig. 13.

Download original image
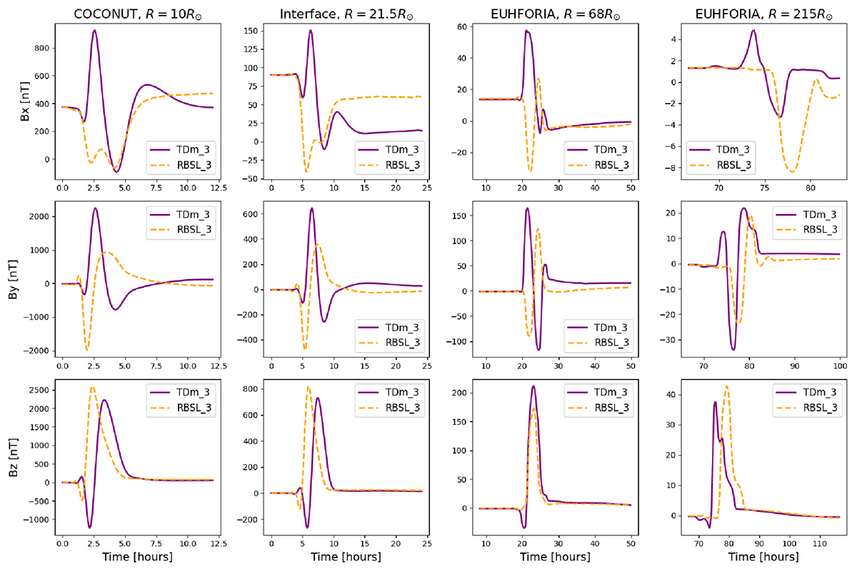
Evolution of the magnetic components at different distances from the Sun. The first row depicts the evolution of the Bx component in nT, the second row shows the By component, and the third row presents the Bz component. The columns correspond to different distances from the Sun at a colatitude of θ = 90° and a longitude of lon = 0. Specifically, the first column shows the evolution at R = 10 R⊙ in COCONUT, the second column at Rb = 21.5 R⊙, which is the interface between COCONUT and EUHFORIA, the third column at R = 68 R⊙ in EUHFORIA, and the final column illustrates the evolution at Earth.
Current usage metrics show cumulative count of Article Views (full-text article views including HTML views, PDF and ePub downloads, according to the available data) and Abstracts Views on Vision4Press platform.
Data correspond to usage on the plateform after 2015. The current usage metrics is available 48-96 hours after online publication and is updated daily on week days.
Initial download of the metrics may take a while.