Open Access
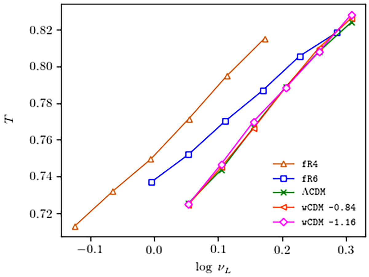
Fig. A.1.

Download original image
Triaxiality of DM halos at z = 0 as function of the variable νL(M, 0) = δc(z = 0)/σL(M, 0) which takes into account the explicit dependence on the critical spherical overdensities δc, of each model. We do not observe any full cosmological invariance.
Current usage metrics show cumulative count of Article Views (full-text article views including HTML views, PDF and ePub downloads, according to the available data) and Abstracts Views on Vision4Press platform.
Data correspond to usage on the plateform after 2015. The current usage metrics is available 48-96 hours after online publication and is updated daily on week days.
Initial download of the metrics may take a while.