Fig. 2.

Download original image
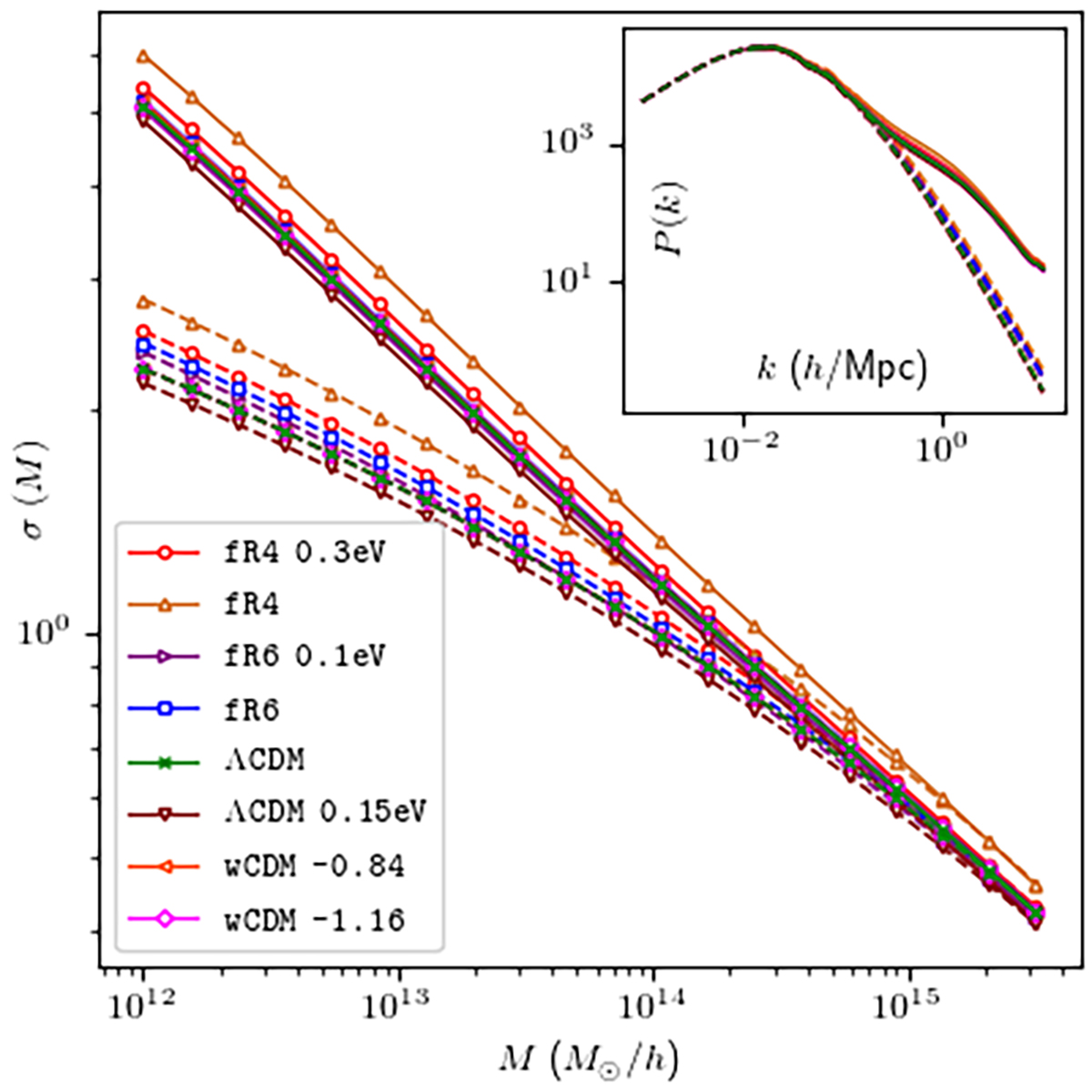
Root-mean-square of nonlinear fluctuations of cosmic matter field as function of the smoothing mass M. The linear fluctuations σL (computed with MGCAMB) are represented by dashed lines, while the solid curves correspond to the σNL, the nonlinear fluctuations of cosmic matter field (computed from the z = 0 snapshots of the DUSTGRAIN-pathfinder simulations). The internal panel contains the corresponding linear and nonlinear power spectra.
Current usage metrics show cumulative count of Article Views (full-text article views including HTML views, PDF and ePub downloads, according to the available data) and Abstracts Views on Vision4Press platform.
Data correspond to usage on the plateform after 2015. The current usage metrics is available 48-96 hours after online publication and is updated daily on week days.
Initial download of the metrics may take a while.