Open Access
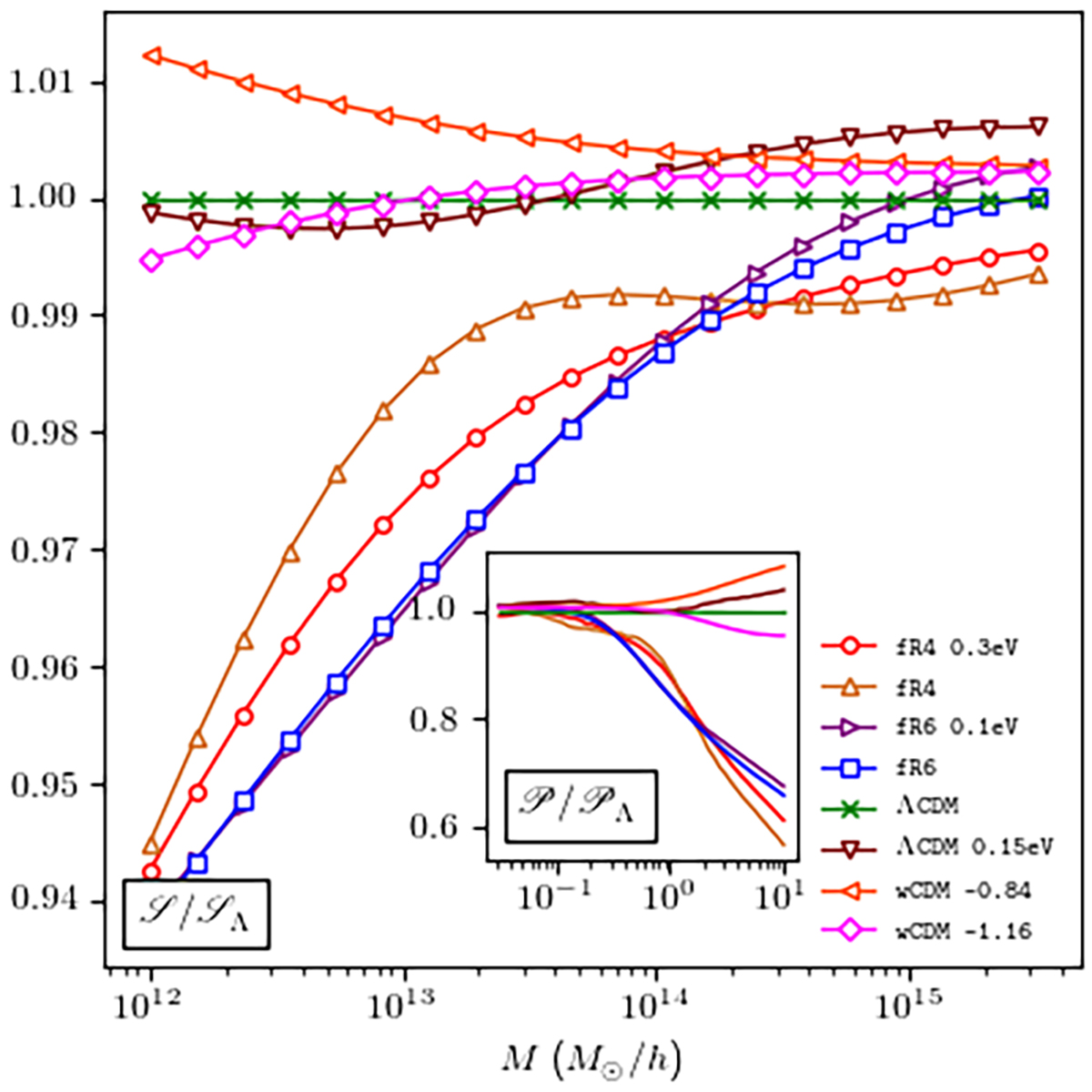
Fig. 3.

Download original image
Purely nonlinear variance relatively to ΛCDM one as function of the smoothing mass M. For a given model of gravity, the purely nonlinear variance is defined as 𝒮 = σNL/σL. In the internal panel, we similarly plot, for each model, the purely nonlinear power spectrum 𝒫 = PNL/PL relatively to the ΛCDM one.
Current usage metrics show cumulative count of Article Views (full-text article views including HTML views, PDF and ePub downloads, according to the available data) and Abstracts Views on Vision4Press platform.
Data correspond to usage on the plateform after 2015. The current usage metrics is available 48-96 hours after online publication and is updated daily on week days.
Initial download of the metrics may take a while.