Open Access
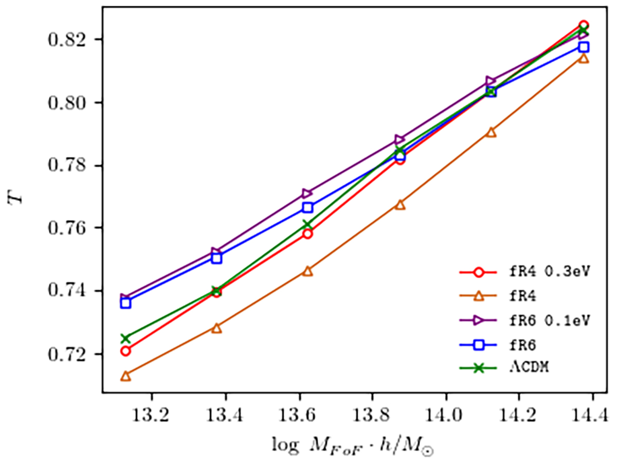
Fig. 4.

Download original image
Median triaxiality of DM halos as function of their FoF mass. Each curve corresponds to a given gravitational and cosmological model, with or without massive neutrinos. The most massive halos are the most prolate, and the higher the σ8, the more oblate the halos.
Current usage metrics show cumulative count of Article Views (full-text article views including HTML views, PDF and ePub downloads, according to the available data) and Abstracts Views on Vision4Press platform.
Data correspond to usage on the plateform after 2015. The current usage metrics is available 48-96 hours after online publication and is updated daily on week days.
Initial download of the metrics may take a while.