Open Access

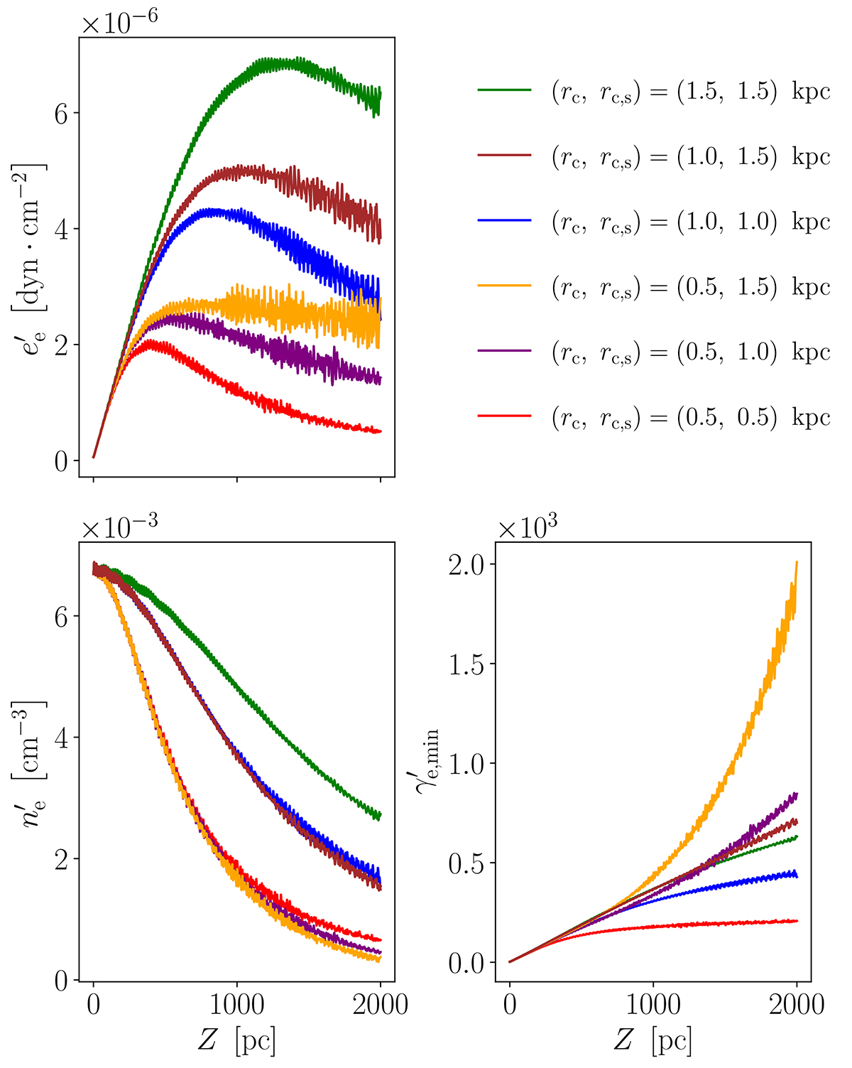
Fig. 2.

image

Download original image

Axial distance dependence of the nonthermal electron energy density ee, density ne, and minimum Lorentz factor γe, min evaluated along the jet inner axis, given in parsecs. In all cases, an average mass-loading rate of Q0 = 5 × 1023 g · yr−1 · pc−3 was used.

Current usage metrics show cumulative count of Article Views (full-text article views including HTML views, PDF and ePub downloads, according to the available data) and Abstracts Views on Vision4Press platform.

Data correspond to usage on the plateform after 2015. The current usage metrics is available 48-96 hours after online publication and is updated daily on week days.

Initial download of the metrics may take a while.