Open Access
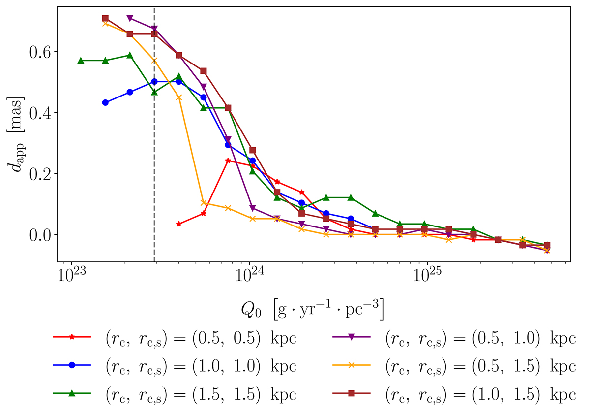
Fig. 4.

Download original image
Dependence of the apparent radio–optical offset dapp on the average mass load Q0 for various ambient medium and stellar core radii (rc and rc, s). Offsets on the right side of the vertical black dashed lines represent minimum offsets detectable by Gaia according to our selection criteria.
Current usage metrics show cumulative count of Article Views (full-text article views including HTML views, PDF and ePub downloads, according to the available data) and Abstracts Views on Vision4Press platform.
Data correspond to usage on the plateform after 2015. The current usage metrics is available 48-96 hours after online publication and is updated daily on week days.
Initial download of the metrics may take a while.