Fig. 8.

Download original image
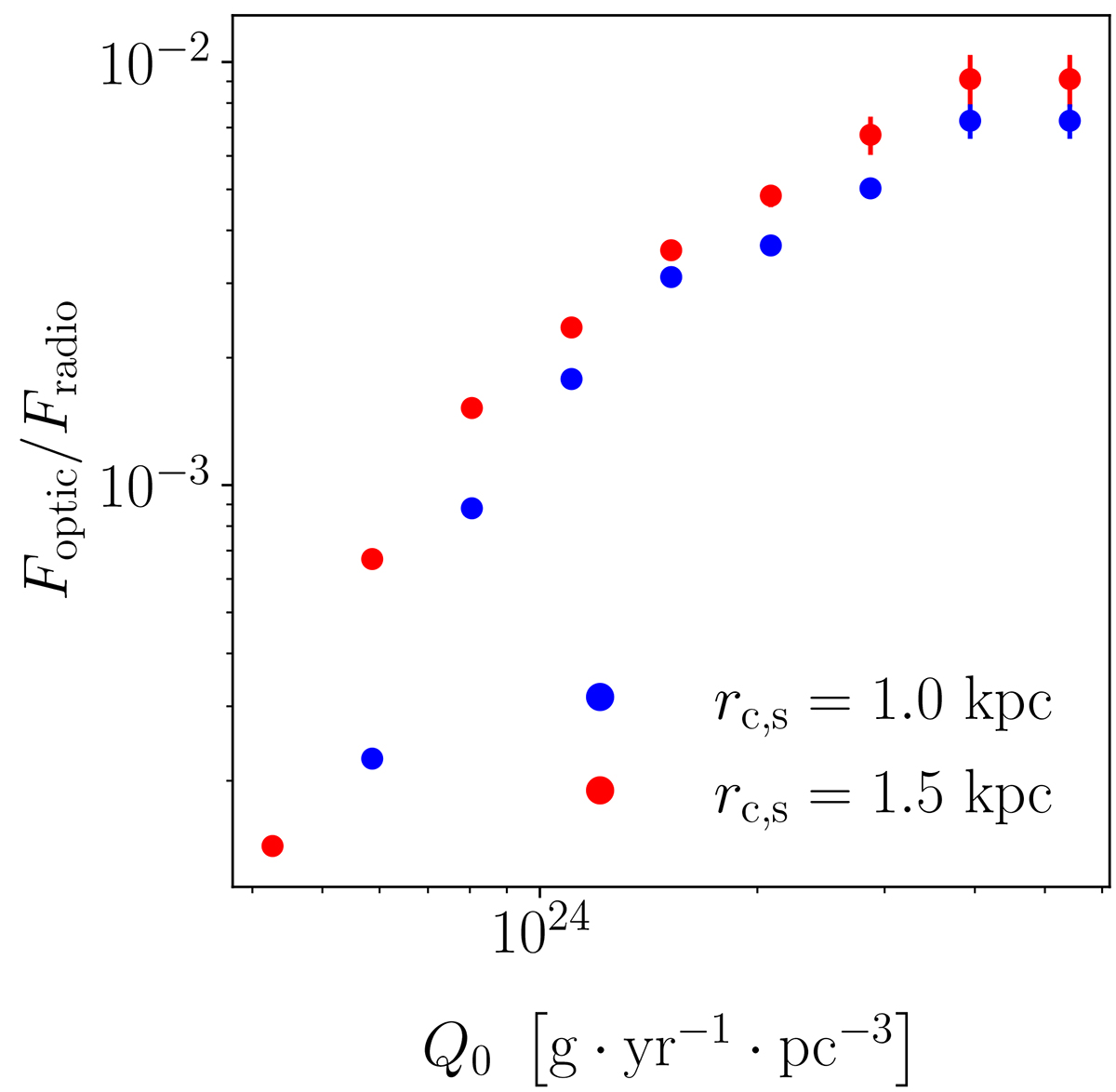
Dependence of the average optical/radio flux, Foptic/Fradio (as measured at ν = 3 × 1010 Hz and ν = 5 × 1014 Hz, respectively) on the average mass-loading rate Q0. Results are displayed for the two stellar distributions tested, rc,s = 1.0 kpc in blue, and 1.5 kpc in red with associated 1σ standard deviation uncertainty bars as we average over the θobs and z distribution.
Current usage metrics show cumulative count of Article Views (full-text article views including HTML views, PDF and ePub downloads, according to the available data) and Abstracts Views on Vision4Press platform.
Data correspond to usage on the plateform after 2015. The current usage metrics is available 48-96 hours after online publication and is updated daily on week days.
Initial download of the metrics may take a while.