Open Access

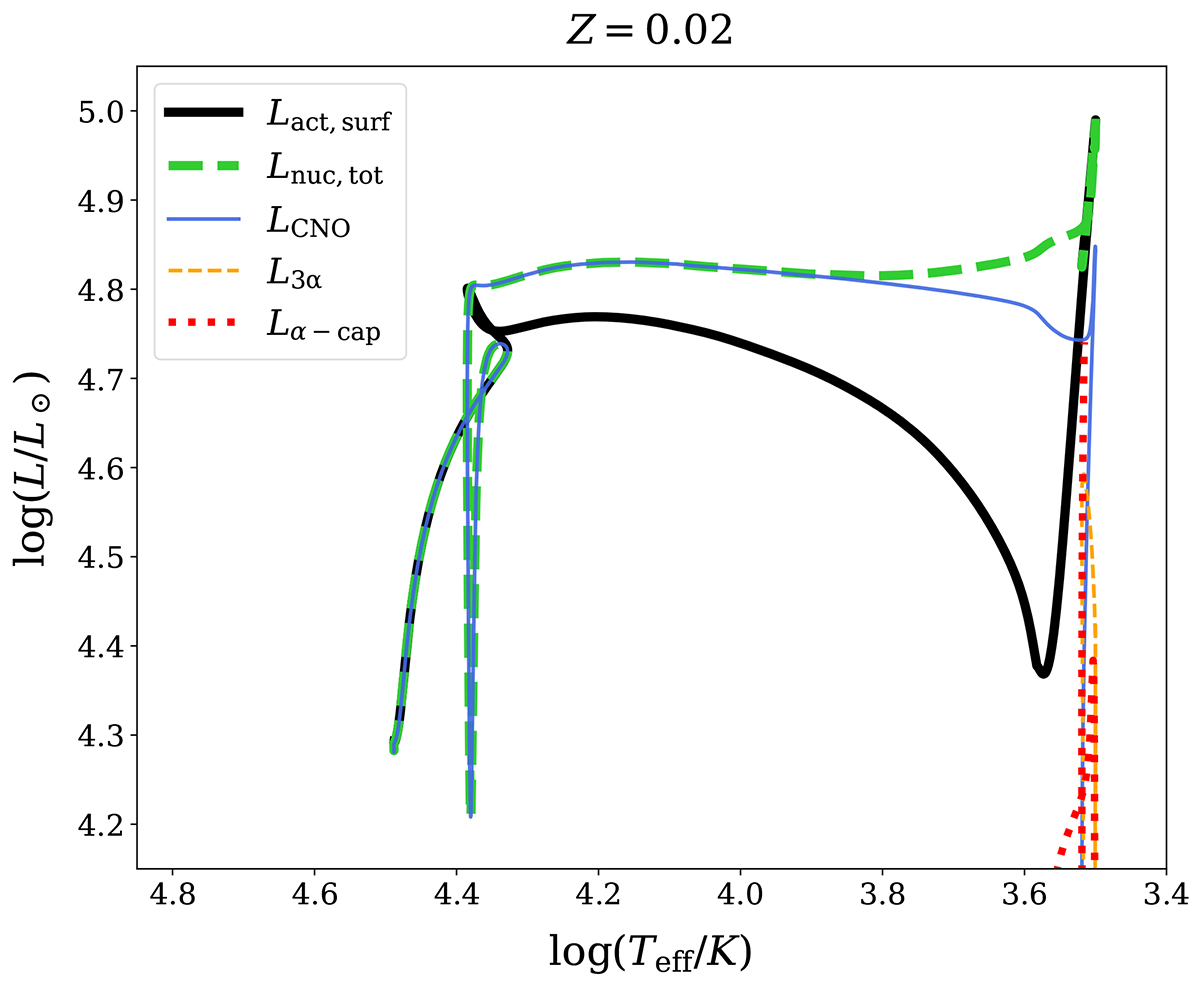
Fig. 1.

image

Download original image

Hertzsprung-Russell diagram track of a 15 M model. The surface and total nuclear luminosity are shown by the black solid and green dashed lines, respectively. The contributions to the nuclear luminosity include the CNO cycle during H burning (blue), the triple-α reaction (orange dashed), and additional alpha captures (red dotted) like 12C(α, γ)16O(α, γ)20Ne and 14N(α,γ)18F(,e+)18O during core-He burning. After core-H exhaustion, the model rapidly expands into an RSG. Notice the increasing difference between actual and nuclear luminosities, especially below log(Teff/K) ∼ 4.

Current usage metrics show cumulative count of Article Views (full-text article views including HTML views, PDF and ePub downloads, according to the available data) and Abstracts Views on Vision4Press platform.

Data correspond to usage on the plateform after 2015. The current usage metrics is available 48-96 hours after online publication and is updated daily on week days.

Initial download of the metrics may take a while.