Fig. 6

Download original image
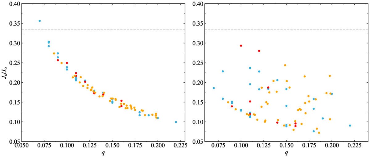
Variation in Js/Jo with q for 40 systems. The orange points illustrate the Js/Jo values for the 40 low mass-ratio contact binary systems identified in this study, while the blue points represent the 30 systems reported by Christopoulou et al. (2022), and the red points correspond to the 9 systems discovered by Lalounta et al. (2024). The gray dashed line marks the instability threshold at Js/Jo = 1/3.
Current usage metrics show cumulative count of Article Views (full-text article views including HTML views, PDF and ePub downloads, according to the available data) and Abstracts Views on Vision4Press platform.
Data correspond to usage on the plateform after 2015. The current usage metrics is available 48-96 hours after online publication and is updated daily on week days.
Initial download of the metrics may take a while.