Open Access

Fig. 8.

image

Download original image

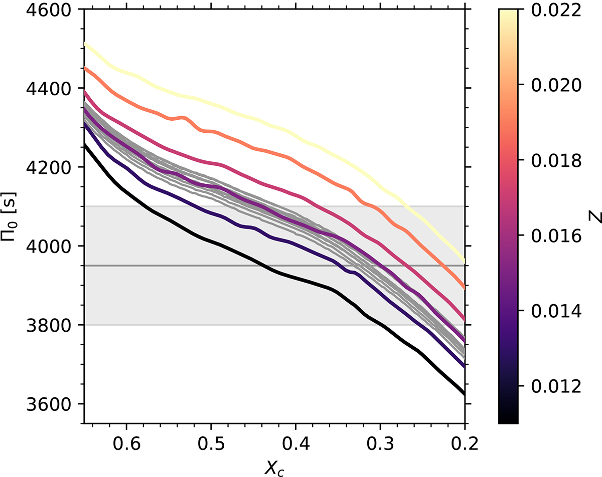
Buoyancy travel time vs. central H fraction for a 1.5 M star, for various metallicities, using data from Mombarg et al. (2021). The buoyancy travel time for KIC 4150611 (see Sect. 4), which is an input for the MCMC grid-search component of the modelling, is shown as the horizontal grey band. The grey lines are the solar metallicity, rotating stellar models from Mombarg et al. (2024a) (grid B); the width of the band that they form is indicative of the variation due to stellar rotation.

Current usage metrics show cumulative count of Article Views (full-text article views including HTML views, PDF and ePub downloads, according to the available data) and Abstracts Views on Vision4Press platform.

Data correspond to usage on the plateform after 2015. The current usage metrics is available 48-96 hours after online publication and is updated daily on week days.

Initial download of the metrics may take a while.