Open Access

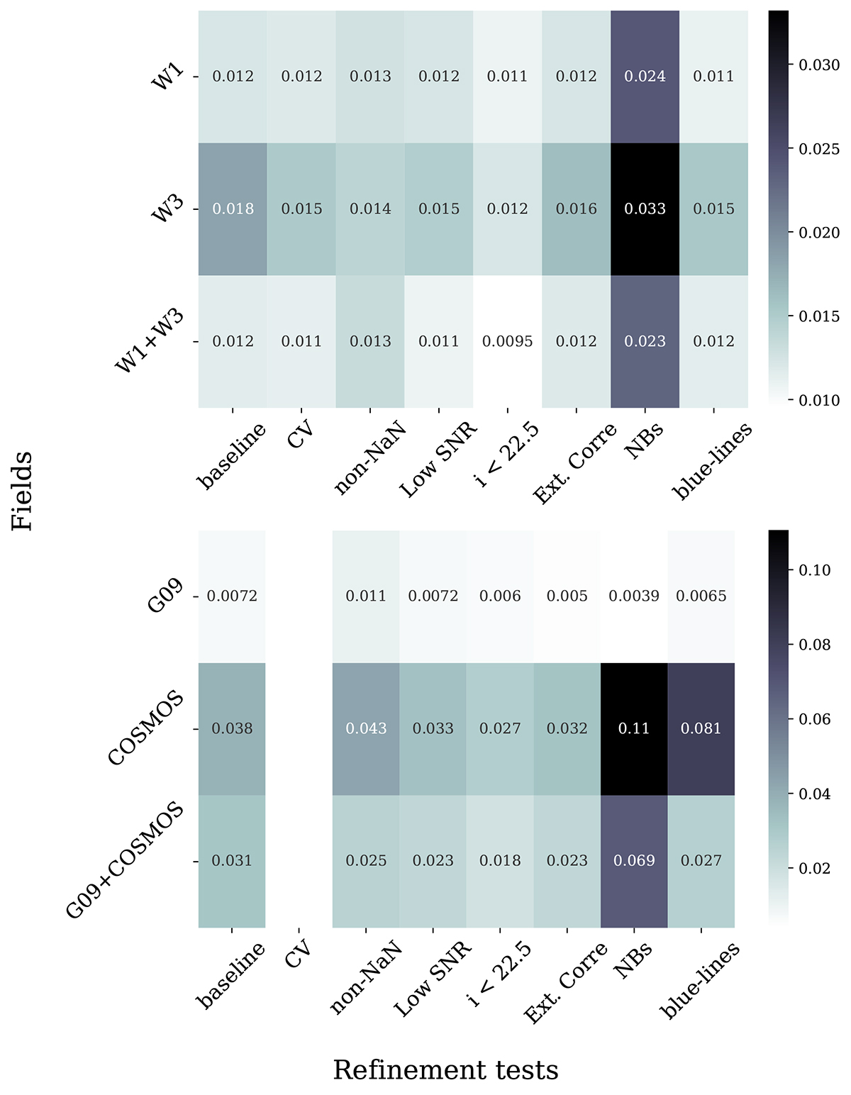
Fig. C.2.

image

Download original image

Heatmaps of σ68 from the validation sample of each study. Top panel: galaxy samples in W1, W3, and W1+W3 combined. Bottom panel: galaxy samples in G09, COSMOS, and G09+COSMOS combined.

Current usage metrics show cumulative count of Article Views (full-text article views including HTML views, PDF and ePub downloads, according to the available data) and Abstracts Views on Vision4Press platform.

Data correspond to usage on the plateform after 2015. The current usage metrics is available 48-96 hours after online publication and is updated daily on week days.

Initial download of the metrics may take a while.