Open Access

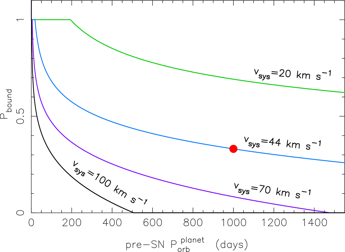
Fig. 10.

image

Download original image

Probability of a planet surviving the SN explosion as a function of its pre-SN orbital period and the present-day systemic velocity of J0337. The red circle marks our default value with v sys = 44 km s 1 $ v_{\mathrm{sys}}=44\,\mathrm{km\,s}^{-1} $ and P orb planet = 1000 days $ P_{\mathrm{orb}}^{\mathrm{planet}}=1000\,\mathrm{days} $, yielding Pbound = 33% (see text).

Current usage metrics show cumulative count of Article Views (full-text article views including HTML views, PDF and ePub downloads, according to the available data) and Abstracts Views on Vision4Press platform.

Data correspond to usage on the plateform after 2015. The current usage metrics is available 48-96 hours after online publication and is updated daily on week days.

Initial download of the metrics may take a while.